
CHƯƠNG TRÌNH
Nâng cao năng lực cán bộ quản lý Tài
chính công và kế toán công
Chuyên đề 1: Những vấn đề cơ bản về Tài chính công và quản lý tài chính công
Chuyên đề 2: Ngân sách Nhà nước và chu trình quản lý NSNN
Chuyên đề 3: Kế toán công
Chuyên đề 4: Quản lý sử dụng kế toán công
PGS. TS Phạm Văn Đăng
Phó giám đốc Học viện Tài chính

Chuyên đ 1:ề
Nh ng v n ữ ấ đ cề ơ b n v tài chính công và qu n lý ả ề ả
tài chính công
N i dung trình bày:ộ
1. T ng quan v Tài chính côngổ ề
2. Qu n lý Tài chính côngả
3. T ch c b máy – qu n lý Tài chính công.ổ ứ ộ ả

1. T ng quan v Tài chính côngổ ề
1.1. Khái ni m Tài chính côngệ
- Nhà nưc d a quy n l c chính tr ớ ự ề ự ị đ chi m h u, chi ph i m t ph n ể ế ữ ố ộ ầ
c a c i xã h i.ủ ả ộ
- Nhà nưc ớđ phân ph i và phân ph i l i m t ph n c a c i xã h i.ể ố ố ạ ộ ầ ủ ả ộ
- Nhà nưc t o l p m t s quĩ Tài chính th c hi n ch c nớ ạ ậ ộ ố ự ệ ứ ăng c a Nhà ủ
nưc.ớ
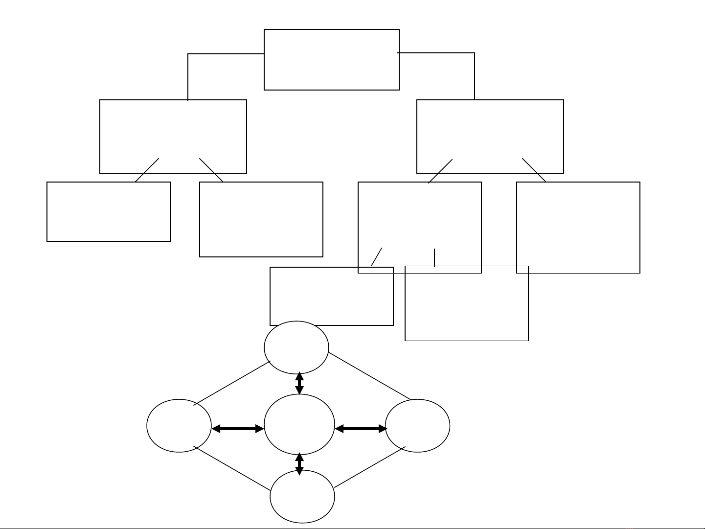
- Khu v c công:ự

- H th ng Tài chính:ệ ố
Khu v c côngự
Chính phủ
(Cơ quan Nhà nưc) ớ
Doanh nghi p côngệ
D ch v côngị ụ
Chính quy n TWềChính quy n Đa ể ị
phương
Doanh nghi p ệ
công và d ch v ị ụ
công Tài chính
Doanh nghi p ệ
công d ch v công ị ụ
phi tài chính
DN công ti n tề ệ DN công phi ti n ề
tệ
TTTC
NSNN
(Các quĩ TC
t p trung)ậ
TC dân cư
Tài chính
DN
Tín d ng ụ
BH CK

Khái ni m: Tài chính công là nh ng ho t ệ ữ ạ đng Thu - Chi c a Nhà nộ ủ ư c nh m ớ ằ
th c hi n ch c nự ệ ứ ăng c a Nhà nủ ư c. Tài chính công không bao g m Tài chính ớ ồ
doanh nghi p công.ệ
1.2. Đc ặđi m Tài chính công:ể
a) Đc ặđi m có tính ch th :ể ủ ể
- Quy n s h u: Thu không có tính ch t b i hoànề ở ữ ấ ồ
- Quy n s d ng: Vay, các quĩ ngoài NS.ề ử ụ
b) Tính công c ng:ộ
- Thu đng viên TC b t bu c công b ng, khuy n khích phát tán kinh t .ộ ắ ộ ằ ế ế
- Chi không b i hoàn H t ng cồ ạ ầ ơ s , y t , vở ế ăn b n, giáo d c, khoa h c, an ninh ả ụ ọ
qu c phòng.ố
1.3. Ch c nứăng c a Tài chính công:ủ
a) Ch c nứăng phân ph iố
- Ph i h p giá tr s n ph m m i t o ra.ố ợ ị ả ẩ ớ ạ
- T o l p các quĩ tài chính, ti n t .ạ ậ ề ệ
b) Ch c nứăng ki m soát và ểđi u ch nhề ỉ
- Ki m soát:ể
+ Thông qua các cơ quan Nhà nưcớ
+ N i dung: Ki m tra tính cân ộ ể đi, ốđúng đn, h p lý, ti t ki m, hi u qu .ắ ợ ế ệ ệ ả
- Đi u ch nh: Thay ề ỉ đi cổ ơ c u, n i dung, s d ng.ấ ộ ử ụ

