
CÂN BẰNG HỆ THỐNG KHI KHUYẾT TẬT
1. Mất trật tự kiểu Schottky cho MX:
Trong mạng tinh thể tồn tại những mất trật tự như:
Tinh thể MX Lỗ trống Lỗ trống
Lỗ trống Lỗ trống
Hốc trống
h
˙
và e tự do e'
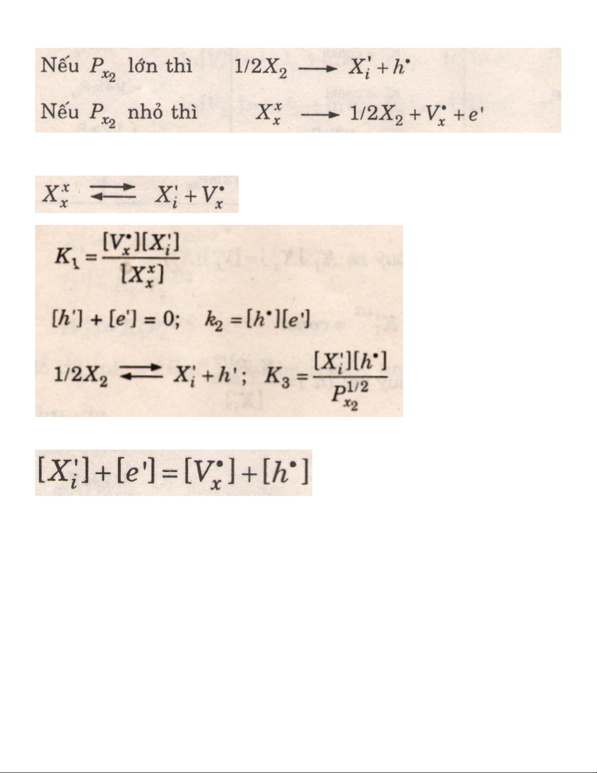
Áp dụng mô hình phản ứng hóa học cho khuyết tật:

Khi tồn tại trong môi trường khí X2:
Cân bằng điện tích:
Cân bằng nút mạng:
δ là giá trị thừa của cấu tử trong mạng tinh thể, ta có:

Từ phương trình cân bằng điện tích, ta có 4 trường hợp:
Giải cân bằng cho trường hợp 2:

2. Mất trật tự kiểu Frenkel cho MX:
Khảo sát mất trật tự cho anion:

Cân bằng mất trật tự:
Điều kiện cân bằng:

