logo
Mạng xã hội chia sẻ tài liệu
Upload
Nâng cấp VIP
Trang chủ » Tài Chính - Ngân Hàng » Thuế - Bảo hiểm - Thẩm định
4 trang
3357 lượt xem
766
13

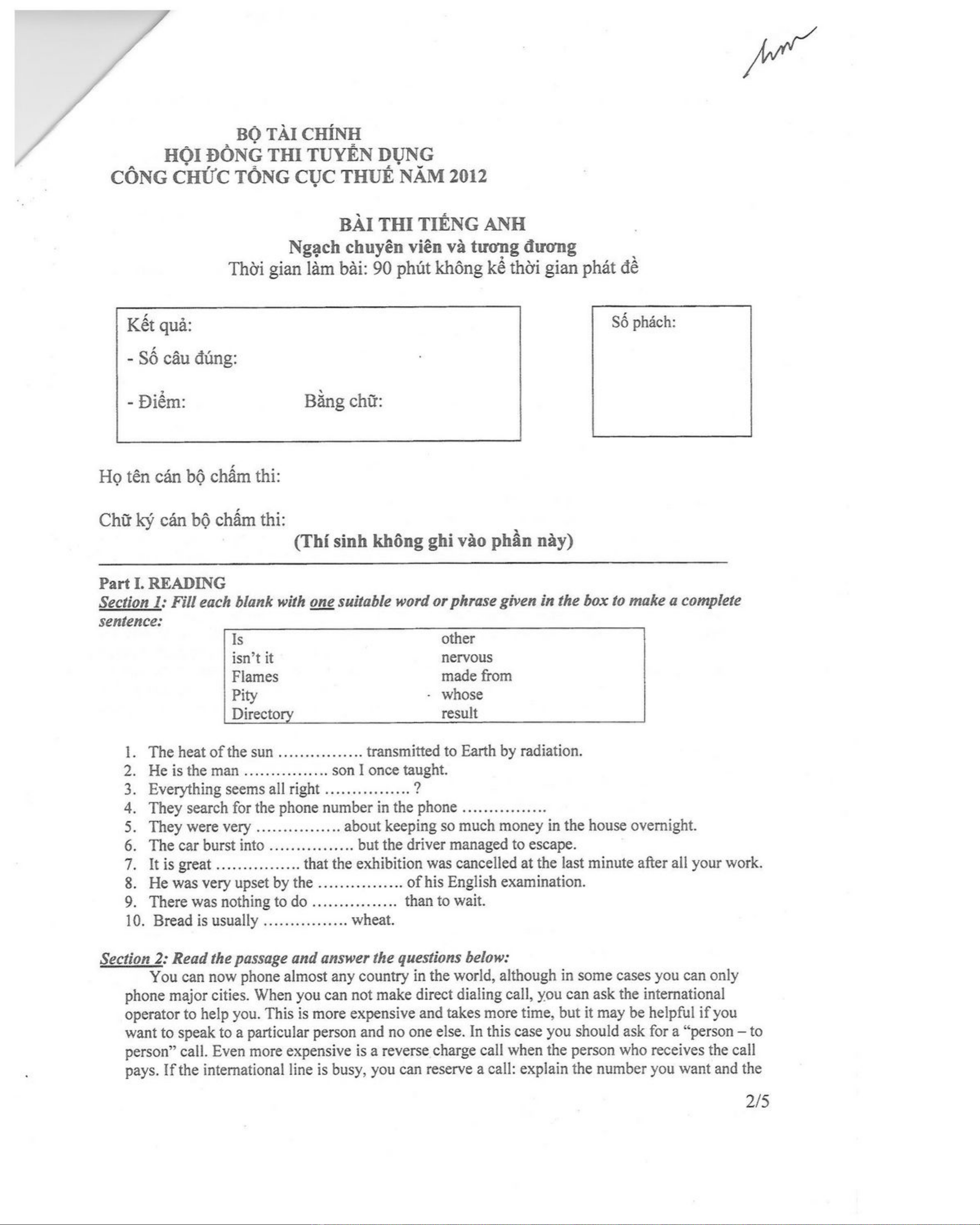
Đề thi công chức tổng cục thuế năm 2012 môn tiếng Anh

Cùng tham khảo Đề thi công chức tổng cục thuế năm 2012 môn tiếng Anh. Tài liệu này sẽ giúp các bạn chuẩn bị cho kỳ thi công chức được vững kiến thức và nắm được các nội dung cần thiết và ôn tập hiệu quả.

Chủ đề:

missyou283

Quản lý thuế

Đề thi Quản lý thuế

Share
/
4

Tài liệu liên quan

Các yếu tố ảnh hưởng đến chất lượng công tác quản lý thuế đối với doanh nghiệp lâm nghiệp tại Việt Nam

Các yếu tố ảnh hưởng đến chất lượng công tác quản lý thuế đối với các doanh nghiệp lâm nghiệp tại Việt Nam

10 trang
Sổ Tay Thuế Điện Tử 2025: Cẩm Nang Kế Toán Trưởng Doanh Nghiệp [Mới Nhất]

Sổ tay Thuế điện tử dành cho kế toán trưởng doanh nghiệp

70 trang
Sổ tay Thuế điện tử cho hộ kinh doanh và cá nhân kinh doanh: Mới nhất

Sổ tay Thuế điện tử dành cho hộ kinh doanh & cá nhân kinh doanh

51 trang
Sổ tay Thuế điện tử dành cho kế toán trưởng doanh nghiệp [Mới nhất]

Sổ tay Thuế điện tử dành cho kế toán trưởng doanh nghiệp

70 trang
Sổ tay Thuế điện tử dành cho chủ doanh nghiệp [Chuẩn nhất]

Sổ tay Thuế điện tử dành cho chủ doanh nghiệp

39 trang
Tổng quan về thuế: Bài giảng Thuế chi tiết

Bài giảng Thuế: Tổng quan về thuế

43 trang
Tăng cường quản lý thuế đối với kinh doanh thương mại điện tử hiện nay

Tăng cường quản lý thuế đối với hoạt động kinh doanh thương mại điện tử hiện nay

5 trang
Chi phí tuân thủ thuế của doanh nghiệp FDI tại TP.HCM: Các nhân tố ảnh hưởng

Các nhân tố ảnh hưởng đến chi phí tuân thủ thuế của các doanh nghiệp FDI trên địa bàn thành phố Hồ Chí Minh

10 trang
Giáo trình Thuế tốt nhất cho Lập trình máy tính Trung cấp - Trường Kinh tế Kỹ thuật Bình Thuận

Giáo trình Thuế (Ngành: Lập trình máy tính - Trình độ: Trung cấp) - Trường Trung cấp Kinh tế - Kỹ thuật Bình Thuận

145 trang
Đánh giá hoạt động quản lý thuế thúc đẩy tuân thủ của người nộp thuế

Đánh giá hoạt động quản lý thuế nhằm thúc đẩy tuân thủ của người nộp thuế

3 trang

Tài liêu mới

Bảo hiểm xã hội bắt buộc: Nâng cao hiệu lực quy định với chủ hộ kinh doanh ở Việt Nam

Nâng cao hiệu lực của quy định bảo hiểm xã hội bắt buộc đối với chủ hộ kinh doanh ở Việt Nam

11 trang
Tránh thuế và yếu tố quản trị bên ngoài của công ty: Nghiên cứu tại Việt Nam

Yếu tố quản trị bên ngoài và hoạt động tránh thuế của các công ty: Bằng chứng cho bối cảnh nghiên cứu ở Việt Nam

13 trang
Nghiệp vụ bảo hiểm: Bài giảng Nguyên lý và thực hành bảo hiểm - Chương 6

Bài giảng Nguyên lý và thực hành bảo hiểm - Chương 6: Nghiệp vụ bảo hiểm

29 trang
Bài giảng Nguyên lý và Thực hành Bảo hiểm: Doanh nghiệp Bảo hiểm và Thị trường Bảo hiểm - Chương 5

Bài giảng Nguyên lý và thực hành bảo hiểm - Chương 5: Doanh nghiệp bảo hiểm và thị trường bảo hiểm

30 trang
Pháp luật về bảo hiểm và hợp đồng bảo hiểm: Bài giảng Nguyên lý và thực hành bảo hiểm - Chương 4

Bài giảng Nguyên lý và thực hành bảo hiểm - Chương 4: Pháp luật về bảo hiểm và hợp đồng bảo hiểm

50 trang
Bài giảng nguyên lý bảo hiểm xã hội, bảo hiểm y tế - Chương 3

Bài giảng Nguyên lý và thực hành bảo hiểm - Chương 3: Bảo hiểm xã hội, bảo hiểm y tế

21 trang
Bài giảng Nguyên lý và thực hành bảo hiểm - Chương 2: Tổng quan lý luận chung về bảo hiểm

Bài giảng Nguyên lý và thực hành bảo hiểm - Chương 2: Những vấn đề lý luận chung về bảo hiểm

26 trang
Bài giảng nguyên lý bảo hiểm: Khái quát về rủi ro và quản trị rủi ro - Chương 1

Bài giảng Nguyên lý và thực hành bảo hiểm - Chương 1: Khái quát về rủi ro và quản trị rủi ro

19 trang
Bài tập Bảo hiểm hàng hoá xuất nhập khẩu: Kinh nghiệm giải bài tập

Bài tập Bảo hiểm hàng hoá xuất nhập khẩu

45 trang
Bài giảng Nguyên lý và Thực hành Bảo hiểm: Chương 6 - Trường ĐH Tài chính Marketing

Bài giảng Nguyên lý và thực hành bảo hiểm: Chương 6 - Trường ĐH Tài chính Marketing

29 trang
Bài giảng Nguyên lý và thực hành bảo hiểm Chương 5: Tài chính Marketing (ĐH)

Bài giảng Nguyên lý và thực hành bảo hiểm: Chương 5 - Trường ĐH Tài chính Marketing

30 trang
Bài giảng Nguyên lý và Thực hành Bảo hiểm Chương 4 - Trường ĐH Tài chính Marketing

Bài giảng Nguyên lý và thực hành bảo hiểm: Chương 4 - Trường ĐH Tài chính Marketing

50 trang
Bài giảng Nguyên lý và thực hành bảo hiểm Chương 3: Tài chính Marketing

Bài giảng Nguyên lý và thực hành bảo hiểm: Chương 3 - Trường ĐH Tài chính Marketing

22 trang
Bài giảng Nguyên lý và Thực hành Bảo hiểm (Chương 2): Trường ĐH Tài chính Marketing

Bài giảng Nguyên lý và thực hành bảo hiểm: Chương 2 - Trường ĐH Tài chính Marketing

25 trang
Bài giảng Nguyên lý và Thực hành Bảo hiểm Chương 1 từ ĐH Tài chính Marketing

Bài giảng Nguyên lý và thực hành bảo hiểm: Chương 1 - Trường ĐH Tài chính Marketing

18 trang

AI tóm tắt

- Giúp bạn nắm bắt nội dung tài liệu nhanh chóng!

Giới thiệu tài liệu

Đối tượng sử dụng

Từ khoá chính

Nội dung tóm tắt

Giới thiệu

Về chúng tôi

Việc làm

Quảng cáo

Liên hệ

Chính sách

Thoả thuận sử dụng

Chính sách bảo mật

Chính sách hoàn tiền

DMCA

Hỗ trợ

Hướng dẫn sử dụng

Đăng ký tài khoản VIP

Zalo/Tel:

093 303 0098

Email:

support@tailieu.vn

Phương thức thanh toán

Theo dõi chúng tôi

Facebook

Youtube

TikTok

chứng nhận
Chịu trách nhiệm nội dung: Nguyễn Công Hà
Doanh nghiệp quản lý: Công ty TNHH Tài Liệu trực tuyến Vi Na - GCN ĐKDN: 0307893603
Địa chỉ: 54A Nơ Trang Long, P. Bình Thạnh, TP.HCM - Điện thoại: 0283 5102 888 - Email: info@tailieu.vn
Giấy phép Mạng Xã Hội số: 670/GP-BTTTT cấp ngày 30/11/2015