
•Monomer là những hợp chất thấp phân tử.Các
monomer muốn tham gia vào phản ứng tạo polymer
thì phải là hợp chất đa chức (ít nhất là hai chức).chức
của monomer có thể là hợp chất chứa nối đôi, nối ba
hoặc các nhóm chức (–OH ,–COOH , –CHO , –NH2,
–SO3H, C2H4,…).
•CH2=CH2: 2 chức (có khả năng kết hợp với 2H).
•CH ≡CH : 4 chức (có khả năng kết hợp với 4H ).
2.1 Kh năng phn ng monomer
212/23/2010 2MaMH 605002 Trùng hợp mạch

312/23/2010 3MaMH 605002 Trùng hợp mạch

2.2.1 Tỷ lệ cấu tử
•Tỷ lệ cấu tử tham gia phản ứng quyệt định số chức
hoạt động.
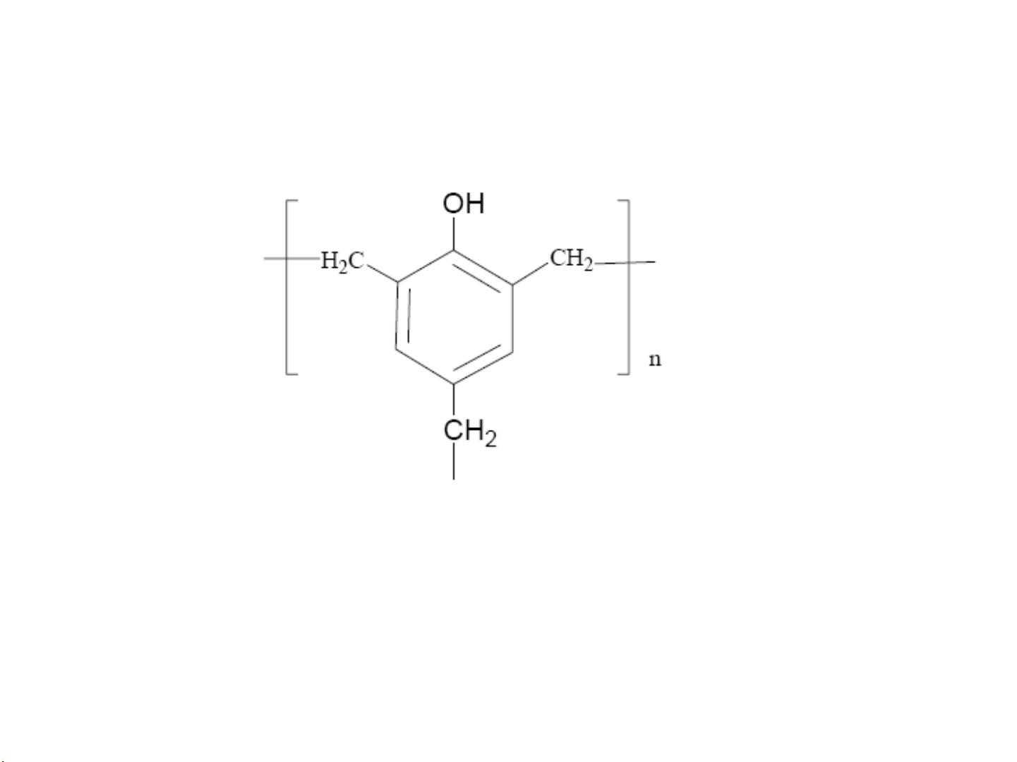
•Tổng hợp nhựa phenolformadehyde (PF)
•Nếu pH < 7 và tỷ lệ P:F = 1 : 1 polymer tạo thành là
mạch thẳng (Novolac)
2.2 Điều kiện phn ng
412/23/2010 4MaMH 605002 Trùng hợp mạch

2.2.1 Tỷ lệ cấu tử (tt)
Nếu pH < 7 và tỷ lệ P:F < 1 polymer tạo thành có cấu
trúc nhánh (resol) hoặc không gian (rezit).
2.2.2 Nhiệt đ
Nhiệt độ là yếu tố quan trong trong phản ứng tổng hợp
các hợp chất cao phân tử. Nhiệt độ khác nhau có thể sẽ
xảy ra phản ứng khác nhau nếu có nhiều phản ứng xảy
ra trong hnhợp… 512/23/2010 5MaMH 605002 Trùng hợp mạch


