
Trường Đại học Khoa học Tự nhiên
Khoa Hóa – Bộ môn Hóa Học Hữu cơ
HA HU CƠ 1
1

Là loại phản ứng trong đó hai tác chất cộng lại với nhau để tạo thành một sản
phẩm và không có nguyên tử nào bị loại bỏ.
2
Chương 6: Đại cương về phản ứng hóa hữu cơ
1. Phân loại phản ứng hóa hữu cơ
Dựa vào kết quả của phản ứng (cách phân loại phổ biến)
Phản ứng cộng (addition reaction)

3
1. Phân loại phản ứng hóa hữu cơ
Dựa vào kết quả của phản ứng (cách phân loại phổ biến)
Phản ứng tách xảy ra khi một tác chất tách thành hai sản phẩm, thường là tạo
thành một phân tử nhỏ như H2O hay HBr …
Phản ứng tách loại (elimination reaction)

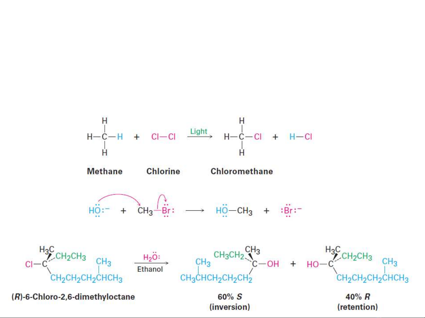
Là loại phản ứng trong đó hai tác chất trao đổi một phần của nhau để tạo ra hai
sản phẩm mới. Hay phản ứng thế là phản ứng trong đó một hay một nhóm nguyên
tử của chất nền được thay thế bởi một nhóm nguyên tử của tác chất.
4
1. Phân loại phản ứng hóa hữu cơ
Dựa vào kết quả của phản ứng (cách phân loại phổ biến)
Phản ứng thế (substitution reaction)

5
1. Phân loại phản ứng hóa hữu cơ
Dựa vào kết quả của phản ứng (cách phân loại phổ biến)
Phản ứng chuyển vị xảy ra khi có sự sắp xếp lại các nối và các nguyên tử trong
phân tử của chất nền từ đó tạo thành một sản phẩm đồng phân (isomeric product).
Phản chuyển vị (rearrangement reaction)

