
Đề án môn học Kinh tế và Quản lý Công nghiệp
LỜI MỞ ĐẦU
Ngành công nghiệp Dệt may là một ngành có truyền thống từ lâu ở Việt
Nam. Đây là một ngành quan trọng trong nền kinh tế của nước ta vì nó phục
vụ nhu cầu thiết yếu của con người, là ngành giải quyết được nhiều việc làm
cho xã hội và đặc biệt nó là ngành có thế mạnh trong xuất khẩu, tạo điều kiện
cho kinh tế phát triển, góp phần cân bằng cán cân xuất nhập khẩu của đất
nước.Trong quá trình Công nghiệp hoá- Hiện đại hoá hiện nay, ngành Dệt
may đang chứng tỏ là một ngành mũi nhọn trong nền kinh tế được thể hiện
qua kim ngạch xuất khẩu liên tục tăng trong mấy năm gần đây, các thị trường
luôn được rộng mở,số lao động trong ngành ngày càng nhiều và chiếm tỷ
trọng lớn trong các ngành công nghiệp, giá trị đong góp của ngành vào thu
nhập quốc dân… Tuy nhiên trong quá trình quốc tế hoá đời sống kinh tế và
những biến động của môi trường kinh tế , ngành Dệt may đang đứng trước
những khó khăn và thách thức mới cho sự phát triển.
Với mục đích tim hiểu những vấn đề lớn liên quan đến ngành trong giai
đoạn hiện nay và thử tìm một số giải pháp để khác phục những vấn đề đó, em
đã quyết định lựa chọn đề tài : “Ngành Dệt May Việt Nam trên con đường
hội nhập”. Bài viết được hoàn thành với sự giúp đỡ tận tình của thầy giáo
Th.s Mai Xuân Được. Đây là một bài viết với vấn đề được đề cập tương đối
rộng nên không thể tránh khỏi những thiếu sót, em mong được sự góp ý của
mọi người.
Nội dung bài viết được chia làm hai phần:
-Phần một: Thực trạng ngành Dệt May Việt Nam.
-Phần hai: Định hướng phát triển công nghiệp Dệt May Việt Nam.
Trần Hoài Việt Công nghiệp 43B

Đề án môn học Kinh tế và Quản lý Công nghiệp
I. THỰC TRẠNG NGÀNH DỆT MAY VIỆT NAM
1.1 Thị trường dệt may
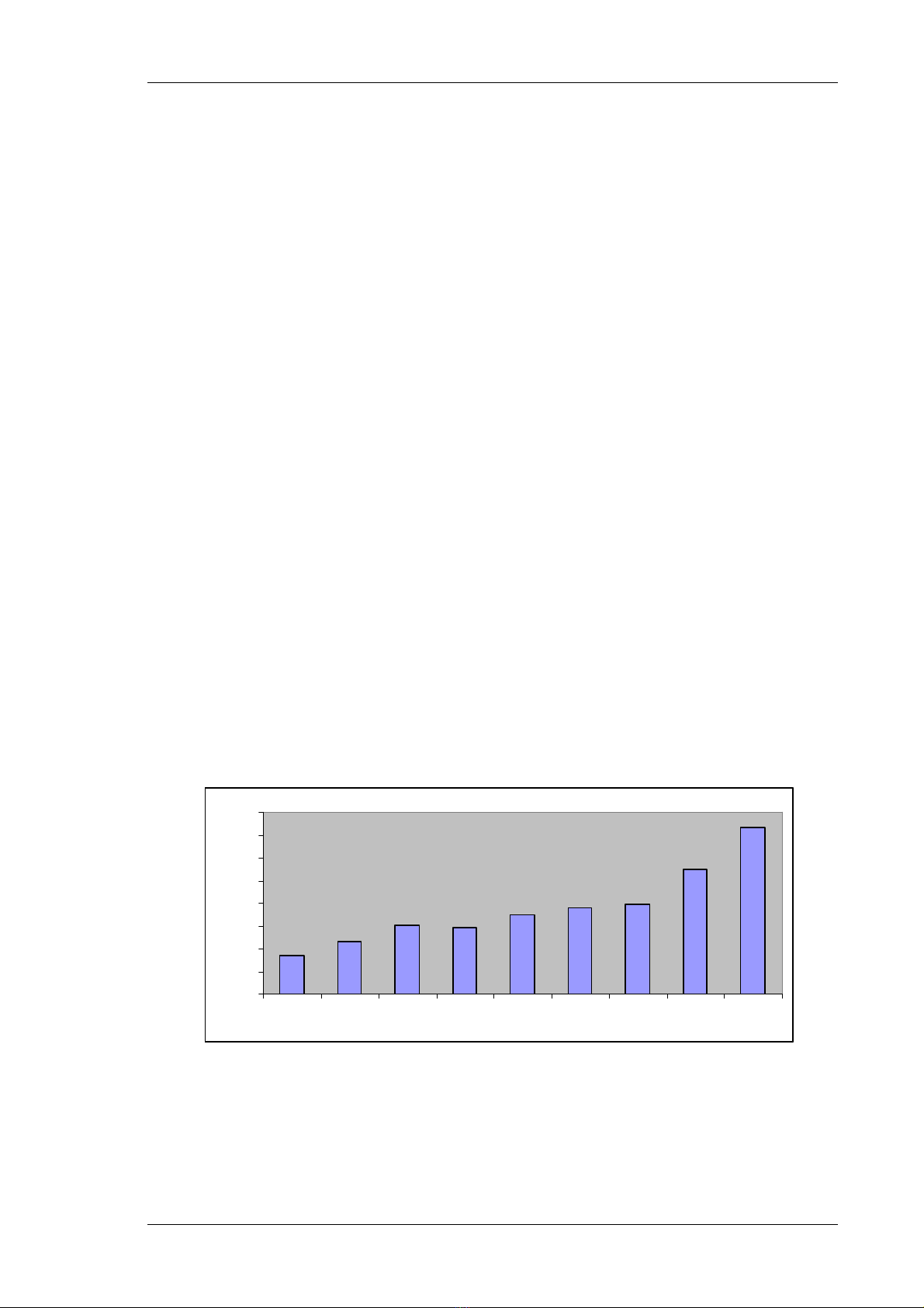
Trong hơn 10 năm qua, ngành dệt may Việt Nam đã có những bước tiến
vượt bậc trong lĩnh vực xuất khẩu với tốc độ tăng trưởng bình quân 23.8%/
năm, vươn lên đứng thứ 2 trong cả nước về kim ngạch xuất khẩu, sau ngành
dầu khí. Nếu như năm 1990 hàng dệt may Việt Nam mới chỉ có mặt ở gần 30
nước trên thế giới thì đến nay đã hiện diện ở hầu khắp các châu lục với trên
100 nước và vùng lãnh thổ. Kim ngạch xuất khẩu không ngừng tăng. Năm
1998 xuất khẩu hàng dệt may đạt 1,45 tỷ USD, tới năm 1999 đã tăng lên 1,76
tỷ USD và năm 2000 xuất gần 1,89 tỷ USD, gấp 16 lần so với năm 1990. Năm
2002 kim ngạch xuất khẩu của ngành đạt 2,7 tỷ USD, tăng 30,7% so với năm
2001, vượt kế hoạch 12,5%. Năm 2003 là 3,6 tỷ USD và vượt hơn 400 triệu
USD so với mục tiêu đề ra, điều này không chỉ góp phần đưa kim ngạch xuất
khẩu nói chung của cả nước tăng 20% mà còn tạo cở sở vững chắc cho sự tăng
trưởng xuất khẩu cho những năm sau.
KIM NGẠCH XUẤT KHẨU HÀNG DỆT MAY QUA CÁC NĂM
Đơn vị : triệu USD
850 1150
1502 1450 1747 1892 1975
2755
3660
0
500
1000
1500
2000
2500
3000
3500
4000
1995 1996 1997 1998 1999 2000 2001 2002 2003
Thị trường xuất khẩu chủ yếu của hàng dệt may nước ta hiện nay là Nhật
Bản, Hoa Kỳ và EU.
*Thị trường EU
Trần Hoài Việt Công nghiệp 43B

Đề án môn học Kinh tế và Quản lý Công nghiệp
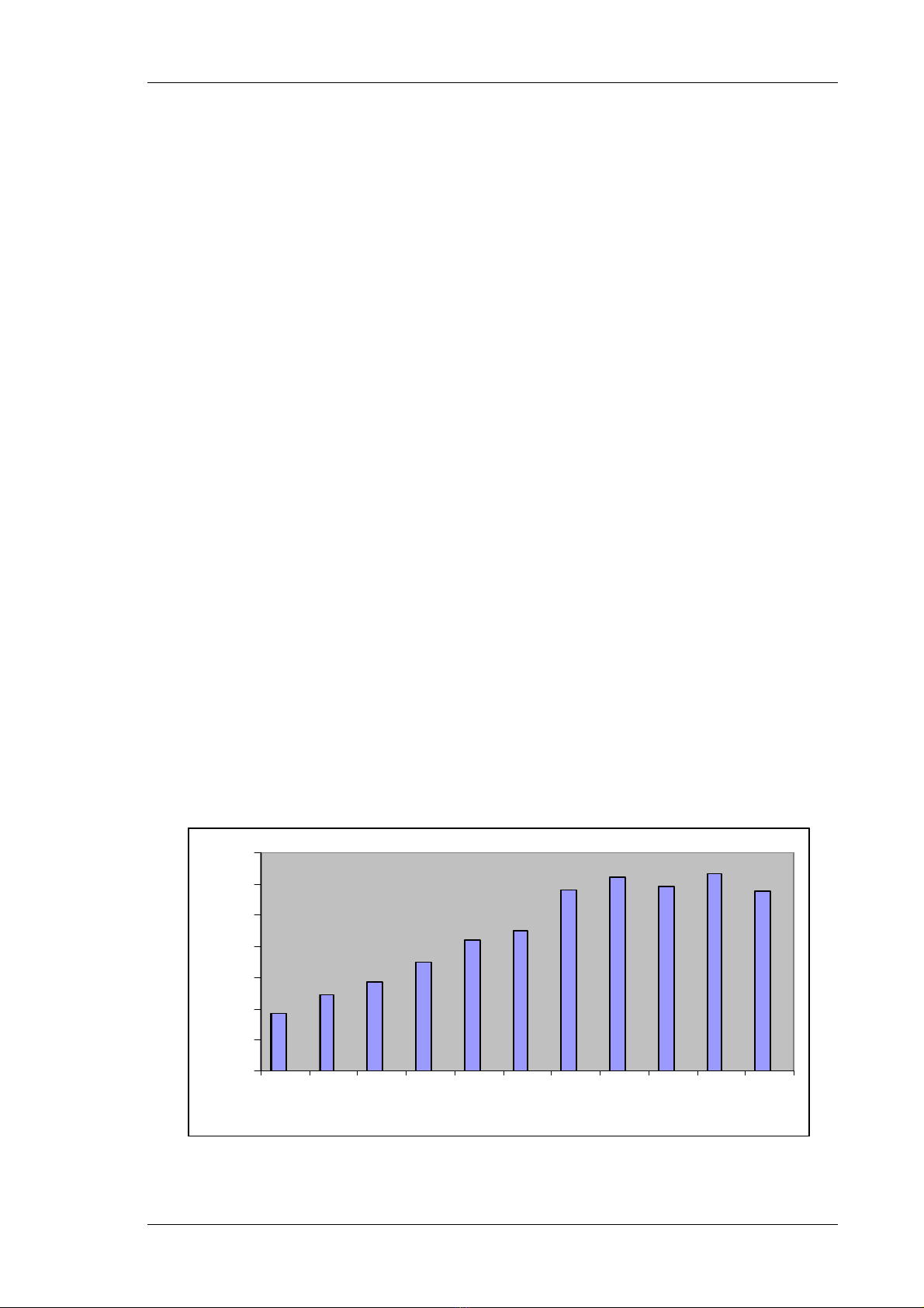
Hàng dệt may chiếm 25% tổng kim ngạch xuất khẩu của Việt Nam vào EU
Từ năm 1993, EU dành cho Việt Nam điều kiện xuất khẩu hàng dệt hàng
năm và từng đợt điều chỉnh tăng hạn ngạch. Kim ngạch xuất khẩu của Việt
Nam liên tục tăng từ 1991 đến nay. Trị giá xuất khẩu trong các năm 1991 đến
2001 tăng lên 21 lần. Tăng trưởng liên tục hàng năm: năm thấp nhất (1993)
cũng tăng 5,3%, các năm cao đạt 77,6% (1994 và 1997), 87,6% (1995).
Bên cạnh đó EU là thị trường nhập khẩu lớn nhất của Việt Nam về hàng may
mặc (40% xuất khẩu may mặc của Việt Nam). Từ trước đến nay hàng này
được EU cấp hạn ngạch, tăng số lượng hàng năm. Tốc độ tăng trưởng hàng
năm trên 38%. EU và Việt Nam đã ký hiệp định xuất khẩu may mặc của Việt
Nam thời kỳ 1998-2000, tăng 31% so với 1992-1997. Việt Nam sử dụng cả
hạn ngạch của EU cấp cho Singapore, Indonesia, Philipin. Giai đoạn 2001-
2002 EU tăng hạn ngạch cho Việt Nam với 16 mã hàng may mặc xuất khẩu
sang EU. Tỷ trọng hàng dệt may Việt Nam giữ mức 15-16% kim ngạch xuất
khẩu. Năm 1999 xuất khẩu hàng này đạt 700 triệu USD. Các nước nhập khẩu
lớn là Đức, Pháp, Hà Lan, Anh. Nhiều nước đặt gia công may mặc cho Việt
Nam (Đức, Pháp …)
KIM NGẠCH XUẤT KHẨU DỆT MAY VÀO EU
Đơn vị: triệu USD
185
245 285
350
420 450
580 620 590 631
575
1
0
100
200
300
400
500
600
700
1992
1993
1994
1995
199
6
1997
1998
1
999
2000
2001
2002
*Thị trường Nhật Bản
Trần Hoài Việt Công nghiệp 43B

Đề án môn học Kinh tế và Quản lý Công nghiệp
Nhật Bản là một thị trường mở, có quy mô tương đối lớn đối với các nhà
xuất khẩu hàng may mặc nước ngoài, là nước nhập khẩu hàng may mặc lớn
thứ 2 trên thế giới với số dân 126,9 triệu người và mức thu nhập bình quân
hàng năm 30.039USD/người. Tuy nhiên, việc mua sắm của người Nhật Bản
đối với các sản phẩm may mặc khác với thị trường Mỹ, EU. Người tiêu dùng
Nhật Bản chịu tác động rất mạnh bởi các phương tiện thông tin đại chúng như
các loại tạp chí, phim ảnh. Nếu như có một mẫu mốt mới xuất hiện ở
Newyork, Milan, Pari hoặc Tokyo thì các phương tiện thông tin về thời trang
đều đưa tin cập nhật đến mẫu mốt đó, làm thay đổi sở thích tiêu dùng hàng
may mặc rất nhanh. Trong khi đó, hàng may mặc Việt Nam xuất khẩu sang
Nhật Bản chỉ mới đáp ứng được một cách tương đối hai yêu cầu, đó là giá cả
và chất lượng. Còn yêu cầu về kiểu dáng thì kiểu dáng hàng may mặc Việt
Nam rất nghèo nàn, không đa dạng do ngành công nghiệp thiết kế thời trang
trong nước chưa phát triển, về nhãn mác chỉ người tiêu dùng trong nước mới
biết đến nhãn mác các sản phẩm may Việt Nam.
Hàng dệt may Việt Nam xuất khẩu sang Nhật Bản
Đơn vị : triệu USD
1992 1993 1994 1995 1996 1997 1998 1999 2000 2001 2002
105.7 58.4 104.1 210.5 309.5 325 321 417 620 592 480
Nhật Bản là thị trường phi hạn ngạch lớn nhất của Việt Nam. Hiện nay Việt
Nam đứng thứ 4 trong các nước có hàng may xuất khẩu vào Nhật Bản. Các
sản phẩm của Việt Nam xuất khẩu sang Nhật Bản chủ yếu là hàng may mặc
như Jacket, quần áo thể thao, quần âu, sơ mi, quần áo lót, quần áo dệt kim….
Kim ngạch xuất khẩu hàng dệt may Việt Nam sang Nhật Bản hàng năm đến
năm 2000 đạt cao nhất (620 triệu USD), sau đó đến năm 2001 lại giảm 5%so
với năm 2000 còn 592 triệu USD. Theo số liệu mới nhất của Bộ Thương mại
thì năm 2002, kim ngạch xuất khẩu hàng dệt may sang Nhật Bản đạt dưới 500
triệu USD, giảm 20% so với năm 2001. Nguyên nhân chính là do sức ép cạnh
tranh của hàng Trung Quốc có chất lượng, mẫu mã đa dạng và giá rẻ, hiện đã
Trần Hoài Việt Công nghiệp 43B

Đề án môn học Kinh tế và Quản lý Công nghiệp
*Thị trường Hoa Kỳ
Kim ngạch xuất khẩu hàng dệt may Việt Nam sang thị trường Mỹ: năm
1998 đạt 26.4 triệu USD, năm 1999 đạt 48 triệu USD, năm 2000 đạt 60 triệu
USD, năm 2001 đạt 49 triệu USD.
Năm 2001 Việt Nam và Hoa Kỳ đã thiết lập quan hệ thương mại trở lại
bằng việc ký kết một hiệp định thương mại Việt Nam- Hoa Kỳ. Có thể nói đây
là một cơ hội mới rất tốt cho thương mại của Việt Nam, trong đó có ngành
may mặc. Bởi Hoa Kỳ được xếp là nước có lượng nhập khẩu hàng may mặc
lớn nhất trên thế giới, thêm vào đó trong thời gian đầu Mỹ không áp dụng
quator cũng như việc mức thuế sẽ giảm từ 40% xuống còn 20% sau khi hiệp
định thương mại có hiệu lực.
Sau một năm thực hiện Hiệp định thương mại Việt- Mỹ, hàng dệt may
vươn lên đứng thứ 2 trong bảng xếp hạng xuất khẩu vào Hoa Kỳ. Kim ngạch
xuất khẩu của hàng dệt may tăng lên tới 1,9 tỷ USD. Các mặt hàng dệt may
xuất khẩu sang Hoa Kỳ cũng đa dạng hơn so với trước. Tháng 1 năm 2001,
Việt Nam mới chỉ có khoảng 17 chủng loại có kim ngach xuất khẩu đáng kể
nhưng đến tháng 7 năm 2002 đã có đến 42 chủng loại khác nhau xuất khẩu
vào Hoa Kỳ. Đồng thời tỷ trọng của hàng dệt may trong tổng xuất khẩu của
Việt Nam sang Hoa Kỳ tăng lên rõ rệt. Năm 2001 hàng dệt may chỉ chiếm
4,7% tổng xuất khẩu của Việt Nam thì đến tháng 7 năm 2002 đã lên đến
24,2%, chỉ đứng sau nhóm hàng hải sản, vượt qua các nhóm hàng truyền
thống là khoáng sản và giầy dép. Mặc dù có sự đa dạng hoá mặt hàng xuất
khẩu, nhưng tỷ trọng xuất khẩu hàng dệt may tập trung chủ yếu vào các loại
quần áo dệt kim và dệt thoi, các mặt hàng khác chiếm tỷ trọng không lớn.
Trần Hoài Việt Công nghiệp 43B

