logo
Mạng xã hội chia sẻ tài liệu
Upload
Nâng cấp VIP
Trang chủ » Khoa Học Tự Nhiên » Toán học - Thống kê
3 trang
336 lượt xem
5
0

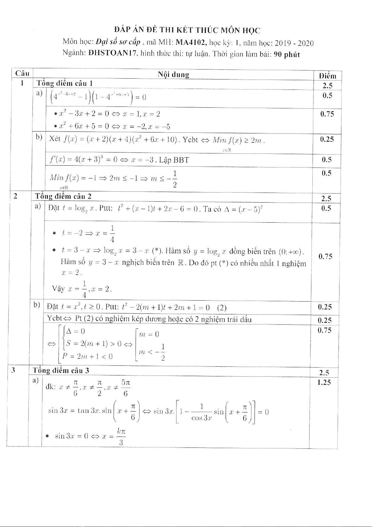
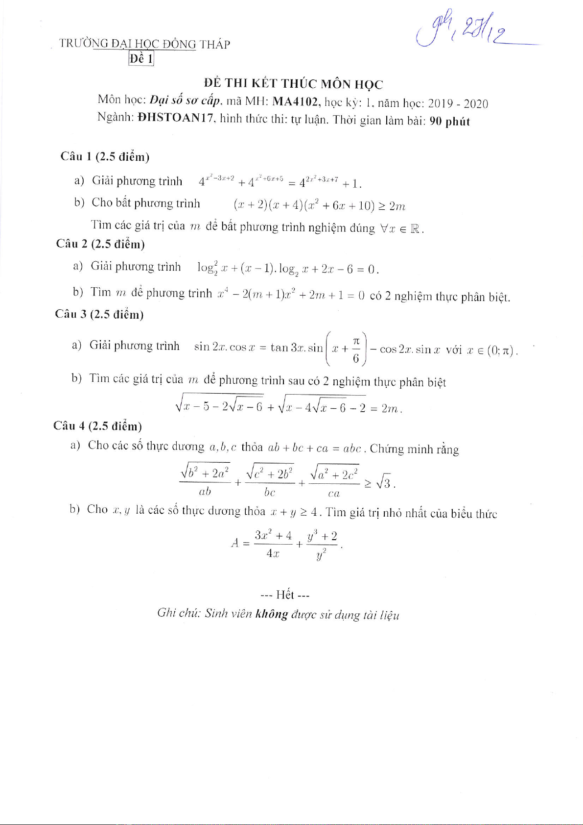
Đề thi kết thúc học phần học kì 1 môn Đại số sơ cấp năm 2019-2020 có đáp án - Trường ĐH Đồng Tháp

Nhằm giúp các bạn có thêm tài liệu ôn tập, củng cố lại kiến thức đã học và rèn luyện kỹ năng làm bài tập, mời các bạn cùng tham khảo Đề thi kết thúc học phần học kì 1 môn Đại số sơ cấp năm 2019-2020 có đáp án - Trường ĐH Đồng Tháp dưới đây. Hy vọng sẽ giúp các bạn tự tin hơn trong kỳ thi sắp tới.

Chủ đề:

dongcoxanh0804

Đại số hiện đại

Đề thi Đại số hiện đại

Share
/
3

Tài liệu liên quan

Đáp án đề thi Olympic Toán sinh viên học sinh năm 2023 phần Đại số

Đáp án đề thi Olympic Toán sinh viên học sinh năm 2023 Phần Đại số

7 trang
Đề thi Đa thức và nhân tử hóa học kì 1 năm 2019-2020 có đáp án - ĐH Đồng Tháp

Đề thi kết thúc học phần học kì 1 môn Đa thức và nhân tử hóa năm 2019-2020 có đáp án - Trường ĐH Đồng Tháp

2 trang
Đề thi Đại số sơ cấp học kì 1 năm 2020-2021 có đáp án - ĐH Đồng Tháp

Đề thi kết thúc học phần học kì 1 môn Đại số sơ cấp năm 2020-2021 có đáp án - Trường ĐH Đồng Tháp

3 trang
Đề thi Đại số đại cương học kì 1 năm 2020-2021 có đáp án - ĐH Đồng Tháp

Đề thi kết thúc học phần học kì 1 môn Đại số đại cương năm 2020-2021 có đáp án - Trường ĐH Đồng Tháp

2 trang
Đề thi Đa thức và nhân tử hóa học kì 1 năm 2020-2021 có đáp án - ĐH Đồng Tháp

Đề thi kết thúc học phần học kì 1 môn Đa thức và nhân tử hóa năm 2020-2021 có đáp án - Trường ĐH Đồng Tháp

2 trang
Đề thi Phương pháp dạy học đại số học kì 2 năm 2021-2022 có đáp án - ĐH Đồng Tháp

Đề thi kết thúc học phần học kì 2 môn Phương pháp dạy học đại số năm 2021-2022 có đáp án - Trường ĐH Đồng Tháp

3 trang
Đề thi Đại số đại cương học kì 2 năm 2021-2022 có đáp án - ĐH Đồng Tháp

Đề thi kết thúc học phần học kì 2 môn Đại số đại cương năm 2021-2022 có đáp án - Trường ĐH Đồng Tháp

2 trang
Đề thi Đa thức và nhân tử hóa học kì 2 năm 2021-2022 có đáp án - ĐH Đồng Tháp

Đề thi kết thúc học phần học kì 2 môn Đa thức và nhân tử hóa năm 2021-2022 có đáp án - Trường ĐH Đồng Tháp

2 trang
Đề thi Phương pháp dạy học đại số học kì 2 năm 2020-2021 có đáp án - ĐH Đồng Tháp

Đề thi kết thúc học phần học kì 2 môn Phương pháp dạy học đại số năm 2020-2021 có đáp án - Trường ĐH Đồng Tháp

3 trang
Đề thi Đại số cuối học kỳ 1 năm 2014-2015 - ĐH Sư phạm Kỹ thuật

Đề thi cuối học kỳ I năm học 2014-2015 môn Đại số - ĐH Sư phạm Kỹ thuật

1 trang

Tài liêu mới

Giáo trình Giải tích một biến (Phần 2): Tài liệu đầy đủ

Giáo trình Giải tích màm một biến: Phần 2

47 trang
Giáo trình Giải tích hàm một biến: Phần 1 [Full/Chuẩn nhất]

Giáo trình Giải tích hàm một biến: Phần 1

34 trang
Bài giảng Nhập môn Thống kê ứng dụng trong giáo dục: Chủ đề 4 của TS. Trần Xuân Quang

Bài giảng Nhập môn Thống kê ứng dụng trong giáo dục: Chủ đề 4 - TS. Trần Xuân Quang

86 trang
Bài giảng Nhập môn Thống kê ứng dụng trong giáo dục: Chủ đề 3 - TS. Trần Xuân Quang

Bài giảng Nhập môn Thống kê ứng dụng trong giáo dục: Chủ đề 3 - TS. Trần Xuân Quang

48 trang
Bài giảng Nhập môn Thống kê ứng dụng trong giáo dục: Chủ đề 2 - TS. Trần Xuân Quang

Bài giảng Nhập môn Thống kê ứng dụng trong giáo dục: Chủ đề 2 - TS. Trần Xuân Quang

42 trang
Bài giảng Nhập môn Thống kê ứng dụng trong giáo dục: Chủ đề 1 - TS. Trần Xuân Quang

Bài giảng Nhập môn Thống kê ứng dụng trong giáo dục: Chủ đề 1 - TS. Trần Xuân Quang

26 trang
Giáo trình Nguyên lý thống kê Quản trị kinh doanh Cao đẳng - Trường Cao đẳng Đại Việt Sài Gòn

Giáo trình Nguyên lý thống kê (Ngành: Quản trị kinh doanh - Trình độ: Cao đẳng) - Trường Cao đẳng Đại Việt Sài Gòn

80 trang
Giáo trình Toán cao cấp Quản trị kinh doanh (Cao đẳng) - Trường Cao đẳng Đại Việt Sài Gòn

Giáo trình Toán cao cấp (Ngành: Quản trị kinh doanh - Trình độ: Cao đẳng) - Trường Cao đẳng Đại Việt Sài Gòn

W 107 trang
Giáo trình Xác suất thống kê Trường Cao đẳng Đại Việt Sài Gòn [Mới nhất]

Giáo trình Xác suất thống kê - Trường Cao đẳng Đại Việt Sài Gòn

W 83 trang
Bài giảng Giải tích - Chương 2: Tích phân bội

Bài giảng Giải tích - Chương 2: Tích phân bội

72 trang
Giáo trình Toán cao cấp 1 - TS. Bùi Thanh Duy [Full/Chuẩn nhất]

Giáo trình Toán cao cấp 1 - TS. Bùi Thanh Duy

64 trang
Giáo trình Toán cao cấp 1 Phần 2: TS. Bùi Thanh Duy (Tái bản/Mới nhất)

Giáo trình Toán cao cấp 1: Phần 2 - TS. Bùi Thanh Duy

27 trang
Giáo trình Toán cao cấp 1: Phần 1 - TS. Bùi Thanh Duy

Giáo trình Toán cao cấp 1: Phần 1 - TS. Bùi Thanh Duy

116 trang
Điều tra chọn mẫu: Bài giảng Lý thuyết thống kê - Chương 5

Bài giảng Lý thuyết thống kê - Chương 5: Điều tra chọn mẫu

13 trang
Nghiên cứu thống kê các mức độ của hiện tượng kinh tế xã hội - Bài giảng Lý thuyết thống kê Chương 4

Bài giảng Lý thuyết thống kê - Chương 4: Nghiên cứu thống kê các mức độ của hiện tượng kinh tế xã hội

30 trang

AI tóm tắt

- Giúp bạn nắm bắt nội dung tài liệu nhanh chóng!

Giới thiệu tài liệu

Đối tượng sử dụng

Từ khoá chính

Nội dung tóm tắt

Giới thiệu

Về chúng tôi

Việc làm

Quảng cáo

Liên hệ

Chính sách

Thoả thuận sử dụng

Chính sách bảo mật

Chính sách hoàn tiền

DMCA

Hỗ trợ

Hướng dẫn sử dụng

Đăng ký tài khoản VIP

Zalo/Tel:

093 303 0098

Email:

support@tailieu.vn

Phương thức thanh toán

Theo dõi chúng tôi

Facebook

Youtube

TikTok

chứng nhận
Chịu trách nhiệm nội dung: Nguyễn Công Hà
Doanh nghiệp quản lý: Công ty TNHH Tài Liệu trực tuyến Vi Na - GCN ĐKDN: 0307893603
Địa chỉ: 54A Nơ Trang Long, P. Bình Thạnh, TP.HCM - Điện thoại: 0283 5102 888 - Email: info@tailieu.vn
Giấy phép Mạng Xã Hội số: 38/GP-BVHTTDL cấp ngày 09/3/2026