
GREEN EYE ENVIRONMENT
COÂNG TY MOÂI TRÖÔØNG
TAÀM NHÌN XANH GREE
Tel: (08)5150181
Fax: (08)8114594
www.gree-vn.com
ThS: Huyønh Ngoïc Phöông Mai
© Copyright 2006 gree-vn.com, All rights reserved. Xin ghi rõ nguồn khi bạn phát hành lại thông tin từ trang này.
3-1
CHÖÔNG 3
ÑOÄ KIEÀM
3.1 KHAÙI NIEÄM CHUNG
Ñoä kieàm laø soá ño khaû naêng trung hoøa acid cuûa nöôùc. Ñoâi khi khaùi nieäm khaû naêng trung hoøa
acid thay theá cho khaùi nieäm ñoä kieàm cuõng ñöôïc söû duïng trong moät soá taøi lieäu. Ñoä kieàm cuûa
nöôùc töï nhieân do muoái cuûa caùc acid yeáu gaây neân, maëc duø caùc chaát kieàm yeáu vaø kieàm maïnh
cuõng coù theå gaây ra ñoä kieàm. Bicarbonate laø daïng ñoä kieàm chuû yeáu vì chuùng ñöôïc taïo thaønh töø
moät khoái löôïng ñaùng keå khí carbonic coù maët trong ñaát vaø khoâng khí xem phöông trình sau:
CO2 + CaCO3 + H2O Æ Ca2+ + 2HCO3-
Caùc muoái cuûa acid yeáu nhö borate, silicate vaø phosphate coù theå coù maët vôùi khoái löôïng nhoû.
Moät vaøi loaïi acid höõu cô khoù bò oxy hoùa sinh hoïc, ví duï nhö acid humic, taïo thaønh caùc muoái
cuõng gaây neân ñoä kieàm trong nöôùc. Trong nöôùc bò oâ nhieãm hoaëc ôû tình traïng kî khí, muoái cuûa
caùc acid yeáu nhö acid acetic, propionic vaø hydrogen sulfide cuõng coù theå taïo thaønh ñoä kieàm.
Trong moät soá tröôøng hôïp khaùc, ammonia hoaëc caùc hydroxide cuõng gaây neân ñoä kieàm cho nöôùc.
Trong nhöõng ñieàu kieän nhaát ñònh, caùc nguoàn nöôùc töï nhieân coù theå chöùa moät löôïng ñaùng keå ñoä
kieàm carbonate vaø hydroxide. Ñieàu kieän naøy thöôøng xaûy ra trong nguoàn nöôùc maët coù taûo phaùt
trieån. Taûo söû duïng khí carbonic, daïng töï do vaø keát hôïp, trong nöôùc vaø pH thöôøng ñaït trò soá 9
ñeán 10. Nöôùc loø hôi luoân luoân chöùa ñoä kieàm carbonate vaø hydroxide. Nöôùc sau khi ñöôïc xöû lyù
laøm meàm baèng phöông phaùp hoùa hoïc coù söû duïng voâi hoaëc soâña thöôøng chöùa carbonate vaø
hydroxide.
Maëc duø raát nhieàu chaát gaây ra ñoä kieàm trong nöôùc, nhöng moät phaàn lôùn ñoä kieàm cuûa nöôùc töï
nhieân do ba chaát sau gaây ra theo thöù töï phuï thuoäc vaøo giaù trò pH töø cao ñeán thaáp: (1)
hydroxide (OH-), (2) carbonate (CO32-) vaø (3) bicarbonate (HCO3-). Vôùi haàu heát caùc muïc ñích
thöïc teá, ñoä kieàm do caùc chaát khaùc gaây ra trong nöôùc töï nhieân laø khoâng ñaùng keå hoaëc raát nhoû.
Ñoä kieàm cuûa nöôùc, veà nguyeân taéc, do muoái cuûa caùc acid yeáu vaø caùc loaïi bazô maïnh gaây ra vaø
caùc chaát naøy laø dung dòch ñeäm ñeå giöõ pH khoâng giaûm nhieàu khi ñöa acid vaøo nöôùc. Vì vaäy, ñoä
kieàm coøn laø soá ño khaû naêng ñeäm cuûa nöôùc vaø ñöôïc söû duïng roäng raõi trong lónh vöïc xöû lyù nöôùc
caáp cuõng nhö nöôùc thaûi.

GREEN EYE ENVIRONMENT
COÂNG TY MOÂI TRÖÔØNG
TAÀM NHÌN XANH GREE
Tel: (08)5150181
Fax: (08)8114594
www.gree-vn.com
ThS: Huyønh Ngoïc Phöông Mai
© Copyright 2006 gree-vn.com, All rights reserved. Xin ghi rõ nguồn khi bạn phát hành lại thông tin từ trang này.
3-2
3.2 YÙ NGHÓA MOÂI TRÖÔØNG
Nhö ñaõ bieát, ñoä kieàm cuûa nöôùc ít coù yù nghóa veà maët söùc khoûe coäng ñoàng. Nöôùc coù ñoä kieàm cao
thöôøng khoâng ngon vaø ngöôøi tieâu thuï thöôøng tìm caùc nguoàn nöôùc caáp khaùc. Nöôùc ñöôïc xöû lyù
baèng phöông phaùp hoùa hoïc thöôøng coù pH cao cuõng khoâng ñöôïc ngöôøi söû duïng öa chuoäng. Vì
nhöõng lyù do treân, tieâu chuaån veà ñoä kieàm cho nöôùc xöû lyù baèng phöông phaùp hoùa hoïc ñaõ ñöôïc
ban haønh.
3.3 PHÖÔNG PHAÙP XAÙC ÑÒNH ÑOÄ KIEÀM
Ñoä kieàm ñöôïc xaùc ñònh baèng phöông phaùp ñònh phaân vôùi dung dòch acid sulfuric H2SO4 N/5
(0,02N) vaø bieåu dieãn baèng ñôn vò töông ñöông CaCO3. Ví duï caùc maãu nöôùc coù pH treân 8,3
ñöôïc ñònh phaân theo hai böôùc. Trong böôùc thöù nhaát, maãu nöôùc ñöôïc ñònh phaân baèng dung dòch
acid cho ñeán pH thaáp hôn 8,3 taïi ñieåm chaát chæ thò phenolphthalein ñoåi maøu töø hoàng sang
khoâng maøu. Vieäc ñònh phaân trong pha hai ñöôïc thöïc hieän ñeán pH thaáp hôn khoaûng 4,5 töông
öùng vôùi ñieåm keát thuùc cuûa bromcresol green. Khi pH cuûa maãu nöôùc thaáp hôn 8,3, chæ caàn ñònh
phaân moät laàn ñeán pH 4,5.
Vieäc choïn pH 8,3 laø ñieåm keát thuùc cho böôùc ñònh phaân thöù nhaát töông öùng vôùi ñieåm ion
carbonate chuyeån thaønh ion bicarbonate:
CO32- + H+ Æ HCO3- (3 – 1)
Vieäc söû duïng pH khoaûng 4,5 laøm ñieåm keát thuùc cho böôùc ñònh phaân thöù hai töông öùng vôùi
ñieåm ion bicarbonate chuyeån thaønh acid carbonic:
HCO3- + H+ Æ H2CO3 (3 – 2)
Treân cô sôû Phöông trình pH = ½ (pKn – pKB – logC0), ñieåm keát thuùc chính xaùc cho vieäc ñònh
phaân phuï thuoäc vaøo noàng ñoä ion bicarbonate ban ñaàu cuûa maãu nöôùc. Chuùng ta thaáy raèng
Phöông trình treân trôû thaønh:
pH (ñieåm töông öùng bicarbonate) = 3,19 – ½ log[HCO3-] (3 – 3)

GREEN EYE ENVIRONMENT
COÂNG TY MOÂI TRÖÔØNG
TAÀM NHÌN XANH GREE
Tel: (08)5150181
Fax: (08)8114594
www.gree-vn.com
ThS: Huyønh Ngoïc Phöông Mai
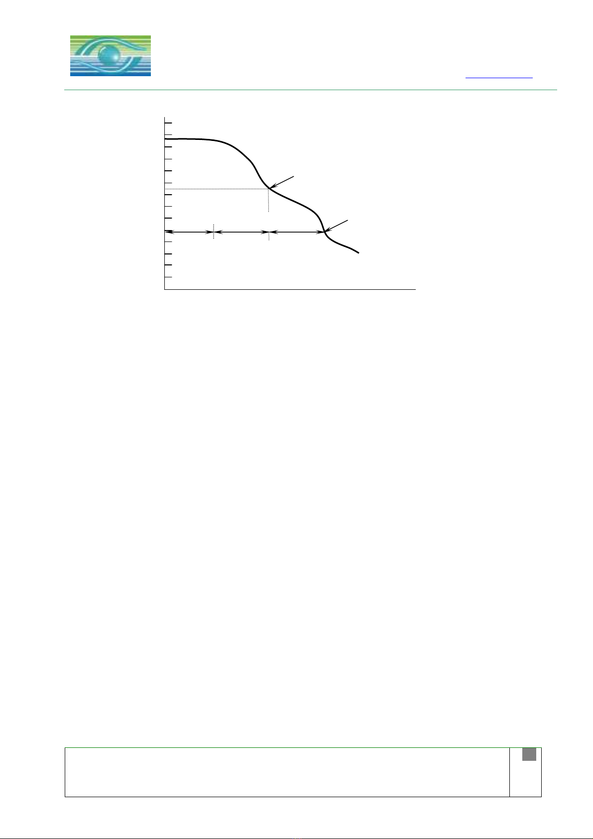
Ñ
ieåm uoán
Ñ
ieåm uoán
mL acid
OH-+H+ÆH2O CO32-+H+ÆHCO3-HCO3-+H+ÆH2CO3
hydroxide carbonate
14
13
12
11
10
9
8
pH 7
6
5
4
3
2
1
0
Hình 3.1 Ñöôøng cong ñònh phaân cuûa hoãn hôïp hydroxide-carbonate.
Bicarbonate [HCO3-] noàng ñoä 0,01M töông öùng vôùi ñoä kieàm 500 mgCaCO3/L coù ñieåm keát
thuùc phaûi laø 4,19. Caùc xem xeùt naøy yeâu caàu acid carbonic hoaëc carbonic ñöôïc taïo thaønh töø
bicarbonate khoâng bò maát töø dung dòch. Ñieàu naøy raát khoù khaên ñeå laøm chaéc chaén vaø vì lyù do
naøy caùc xem xeùt treân coù yù nghóa lôùn veà maët lyù thuyeát.
pH thöïc cuûa ñieåm keát thuùc khi xaùc ñònh ñoä kieàm toát nhaát laø ñöôïc xaùc ñònh baèng caùch ñònh
phaân theo ñieän theá. Yeáu toá naøy coù yù nghóa ñaëc bieät quan troïng ñoái vôùi nöôùc töï nhieân maø ôû ñoù
ñoä kieàm toång coäng laø toång caùc aûnh höôûng cuûa caùc muoái acid yeáu trong ñoù bicarbonate chæ laø
moät phaàn. pH cuûa ñieåm gaây keát thuùc treân ñöôøng ñònh phaân (xem Hình 3.1) laø ñieåm keát thuùc
thaät. Giaù trò pH taïi caùc ñieåm keát thuùc töông öùng ñoái vôùi caùc ñoä kieàm khaùc nhau töø Phöông trình
(3 – 3) hoaëc trong “Standard Methods” chæ coù giaù trò cho caùc dung dòch bicarbonate vaø khoâng
ñöôïc aùp duïng cho nöôùc thaûi sinh hoaït hoaëc saûn xuaát, thaäm chí ngay caû nöôùc töï nhieân.
3.4 CAÙC PHÖÔNG PHAÙP BIEÅU DIEÃN ÑOÄ KIEÀM
Do kieàm do raát nhieàu chaát gaây neân. Caùc chaát naøy thay ñoåi töø nöôùc saïch nöôùc bò oâ nhieãm nhö
nöôùc thaûi sinh hoaït vaø nöôùc thaûi coâng nghieäp, ñeán caùc loaïi buøn ñaõ bò phaân huûy. Caùc phöông
phaùp bieåu dieãn giaù trò ñoä kieàm cuõng thay ñoåi moät caùch ñaùng keå; vì vaäy caàn phaûi giaûi thích
phöông phaùp bieåu dieãn moät caùch chi tieát vaø xaùc ñònh caùc lónh vöïc maø caùc phöông phaùp bieåu
dieãn ñöôïc söû duïng.
Ñoä kieàm phenolphthalein vaø ñoä kieàm toång coäng
Phaân tích ñöôøng cong ñònh phaân ñoái vôùi kieàm maïnh (do kieàm hydroxide), ñoái vôùi carbonate
natri, cho thaáy raèng taát caû hydroxide ñeàu ñöôïc trung hoøa taïi thôøi ñieåm khi pH giaûm ñeán 10 vaø
3-3
© Copyright 2006 gree-vn.com, All rights reserved. Xin ghi rõ nguồn khi bạn phát hành lại thông tin từ trang này.

GREEN EYE ENVIRONMENT
COÂNG TY MOÂI TRÖÔØNG
TAÀM NHÌN XANH GREE
Tel: (08)5150181
Fax: (08)8114594
www.gree-vn.com
ThS: Huyønh Ngoïc Phöông Mai
carbonate chuyeån thaønh bicarbonate taïi thôøi ñieåm khi pH giaûm xuoáng khoaûng 8,3. Trong hoãn
hôïp chöùa caû hydroxide vaø carbonate, carbonate laøm thay ñoåi ñöôøng cong ñònh phaân ôû ñieåm
gaây khuùc co pH 8,3 nhö trình baøy trong Hình 3.1. Vì ñieàu naøy, trong thöïc teá ñoä kieàm ño taïi
ñieåm keát thuùc phenolphthalein ñöôïc coi laø ñoä kieàm phenolphthalein. Hieän nay, khaùi nieäm naøy
ñöôïc söû duïng roäng raõi trong lónh vöïc xöû lyù nöôùc thaûi vaø vaãn ñöôïc söû duïng trong moät soá lónh
vöïc phaân tích nöôùc.
Neáu vieäc ñònh phaân moät maãu nöôùc coù chöùa caû ñoä kieàm carbonate vaø hydroxide ñöôïc tieáp xuùc
qua ñieåm keát thuùc phenolphthalein, bicarbonate phaûn öùng vôùi acid vaø chuyeån thaønh acid
carbonic. Phaûn öùng naøy xaûy ra hoaøn toaøn khi pH haï thaáp hôn khoaûng 4,5 (xem Hình 3.1). Khoái
löôïng acid yeâu caàu ñeå phaûn öùng vôùi hydroxide, carbonate vaø bicarbonate bieåu dieãn ñoä kieàm
toång coäng. Vì ñoä kieàm thöôøng ñöôïc bieåu dieãn baèng ñôn vò CaCO3; cho neân dung dòch H2SO4
N/50 ñöôïc söû duïng trong vieäc ñònh phaân ñoä kieàm. Caùc tính toaùn coù theå thöïc hieän nhö sau:
© Copyright 2006 gree-vn.com, All rights reserved. Xin ghi rõ nguồn khi bạn phát hành lại thông tin từ trang này.
3-4
Trong vieäc xaùc ñònh ñoä kieàm toång coäng, pH taïi ñieåm keát thuùc coù moät quan heä tröïc tieáp ñeán
khoái löôïng ñoä kieàm carbonate ban ñaàu cuûa maãu.
Ñoä kieàm hydroxide, carbonate vaø bicarbonate
Trong phaân tích nöôùc, caùc loaïi ñoä kieàm coù maët trong nöôùc vaø khoái löôïng cuûa töøng loaïi thöôøng
ñöôïc yeâu caàu xaùc ñònh. Thoâng tin naøy ñaëc bieät caàn cho quaù trình laøm meàm nöôùc vaø cho nöôùc
trong loø hôi. Ñoä kieàm hydroxide, carbonate vaø bicarbonate thöôøng ñöôïc tính toaùn döïa treân caùc
soá lieäu cô baûn khi ñònh phaân bazô maïnh vaø carbonate natri. Ba qui trình sau thöôøng ñöôïc söû
duïng ñeå tính toaùn caùc loaïi ñoä kieàm: (1) tính toaùn chæ töø soá ño ñoä kieàm, (2) tính toaùn töø soá ño ñoä
kieàm vaø pH vaø (3) tính toaùn töø caùc phöông trình caân baèng. Qui trình ñaàu tieân laø qui trình cô
ñieän döïa treân caùc moái quan heä thöïc nghieäm ñeå tính toaùn caùc loaïi ñoä kieàm khaùc nhau töø ñoä
kieàm phenolphthalein vaø ñoä kieàm toång coäng. Caùch tính toaùn naøy ñöôïc söû duïng cho caùn boä kyõ
thuaät khoâng coù kieán thöùc cô baûn veà hoùa hoïc moâi tröôøng. Caùc keát quaû cuûa phöông phaùp tính
toaùn naøy chæ laø gaàn ñuùng ñoái vôùi caùc maãu nöôùc coù pH treân 9. Duø vaäy, caùc nhaø hoùa hoïc nöôùc vaø
caùc kyõ sö coù lieân quan ñeán quaù trình laøm meàm nöôùc, kieåm soaùt aên moøn, phoøng choáng laéng caën
ôû pH cao ñeàu caàn bieát caàn bieát caùc loaïi ion vaø noàng ñoä cuûa chuùng. Vì lyù do naøy, caàn phaûi coù
khaû naêng tính toaùn noàng ñoä ion hydroxide, carbonate vaø bicarbonate ôû taát caû caùc giaù trò pH vôùi
1.000
Ñoä kieàm phenol = (mL dung dòch H2SO4ñònh phaân ñeán pH 8,3) (3 - 4)
mL maãu
4
,
0
4
,
6
4
,
8
5
,
0
(3 - 5) Ñoä kieàm toång coäng = toång mL H2SO4ñònh phaân ñeán pH 1.000
mL maãu

GREEN EYE ENVIRONMENT
COÂNG TY MOÂI TRÖÔØNG
TAÀM NHÌN XANH GREE
Tel: (08)5150181
Fax: (08)8114594
www.gree-vn.com
ThS: Huyønh Ngoïc Phöông Mai
© Copyright 2006 gree-vn.com, All rights reserved. Xin ghi rõ nguồn khi bạn phát hành lại thông tin từ trang này.
3-5
ñoä chính xaùc caàn thieát. Vieäc tính toaùn vôùi ñoä chính xaùc cao naøy coù theå ñöôïc thöïc hieän baèng qui
trình (2) hoaëc (3).
Qui trình hai coù ñoä chính xaùc ñuû cho caùc muïc ñích thöïc teá vaø cuõng söû duïng ñoä kieàm
phenolphthalein vaø ñoä kieàm toång coäng. Hôn nöõa, soá ño pH ban ñaàu phaûi yeâu caàu phaûi coù ñoä
chính xaùc cao ñeå tính toaùn tröïc tieáp ñoä kieàm hydroxide. Trong qui trình ba, caùc phöông trình
caân baèng khaùc nhau cuûa acid carbonic ñöôïc söû duïng ñeå tính toaùn noàng ñoä cuûa caùc loaïi ñoä kieàm
khaùc nhau. Qui trình naøy cho keát quaû vôùi ñoä chính xaùc cao ñoái vôùi caùc thaønh phaàn, thaäm chí
khi chuùng coù maët trong nöôùc ôû mg/L, khi soá ño pH ñöôïc thöïc hieän chính xaùc. Ñoâi khi noàng ñoä
thaáp cuûa caùc ñoä kieàm cuõng ñoùng vai troø quan troïng. Ñoä kieàm toång coäng cuõng nhö pH ñöôïc yeâu
caàu. Hôn nöõa, caàn phaûi xaùc ñònh soá ño cuûa chaát raén hoøa tan ñeå hieäu chænh hoaït tính ion vôùi so
ño nhieät ñoä ñeå löïa choïn haèng soá caân baèng thích hôïp. Caùc kyõ sö moâi tröôøng cuõng nhö caùc nhaø
hoùa hoïc moâi tröôøng caàn phaûi hieåu cô sôû cuûa caùc qui trình naøy. Caùc qui trình ñöôïc trình baøy
döôùi ñaây.
Tính toaùn töø soá ño ñoä kieàm
Trong qui trình naøy, ñoä kieàm phenolphthalein vaø ñoä kieàm toång coäng ñöôïc xaùc ñònh vaø töø caùc
soá ño naøy tính toaùn ñoä kieàm hydroxide, carbonate vaø bicarbonate. Caùc tính toaùn naøy coù theå
ñöôïc thöïc hieän baèng caùch cho raèng (khoâng chính xaùc) ñoä kieàm hydroxide vaø ñoä kieàm
carbonate khoâng cuøng toàn taïi trong moät maãu nöôùc. Ñieàu naøy cho pheùp naêm khaû naêng sau: (1)
chæ coù hydroxide, (2) chæ coù carbonate, (3) hydroxide vaø carbonate, (4) carbonate vaø
bicarbonate vaø (5) chæ coù bicarbonate. Hình 4.6 vaø 4.8 bieåu dieãn raèng vieäc trung hoøa
hydroxide ñöôïc thöïc hieän hoaøn toaøn khi löôïng acid ñöa vaøo ñuû ñeå giaûm pH ñeán 8,3 vaø khi ñoù
duøng moät nöõa löôïng carbonate bò trung hoøa. Khi tieáp tuïc ñònh phaân ñeå ñeán pH 4,5, moät khoái
löôïng khoâng ñaùng keå acid ñöôïc söû duïng ñeå trung hoøa hydroxide vaø moät khoái löôïng acid duøng
baèng khoái löôïng ñeå trung hoøa carbonate ñeán pH 8,3, ñöôïc söû duïng ñeå trung hoøa carbonate.
Ñieàu naøy laø thoâng tin cô baûn ñeå xaùc ñònh caùc daïng ñoä kieàm hieän trong nöôùc vaø khoái löôïng cuûa
töøng loaïi. Bieåu ñoà bieåu dieãn söï ñònh phaân vôùi caùc ñoä kieàm keát hôïp vôùi nhau ñöôïc trình baøy
trong Hình 3.2

