
Bài Luận
Đề Tài:
Phân tích hoạt động
Marketing Mix của khách sạn
Caravel

I. TỔNG QUAN NGÀNH KHÁCH SẠN TẠI TP HỒ
CHÍ MINH
1. Cơ sở hạ tầng
a) Số lượng:
Để đáp ứng nhu cầu ngày càng tăng của khách nội địa và nước ngoài về ăn ở, nhiều
doanh nghiệp trong và ngoài nước đã đẩy mạnh đầu tư xây dựng khách sạn cao cấp tại
Tp.HCM. Số lượng khách sạn cao cấp được đầu tư, mở rộng, nâng cấp trong 3 năm gần đây
đã tăng gần gấp đôi so với năm 2007, trong đó, tăng nhiều nhất là khối khách sạn 3 sao.
Theo Sở VH-TT-DL Tp.HCM, năm 2007, Tp.HCM có 624 cơ sở lưu trú du lịch, nhưng chỉ
có 40 khách sạn cao cấp, trong đó có 11 khách sạn 5 sao, 8 khách sạn 4 sao và 21 khách sạn
3 sao, với khoảng 6.500 phòng cao cấp
Đến tháng 6/2011, TP đã có gần 1.500 cơ sở lưu trú, với 35.000 phòng đã được phân
loại, xếp hạng sao. Trong đó, có 73 khách sạn cao cấp với 14 khách sạn 5 sao, 13 khách sạn
4 sao, khoảng 48 khách sạn 3 sao, với 9.700 phòng.
b) Chất lượng:
Với nhu cầu ngày càng cao đi song song với những yêu cầu về chất lượng phục vụ
ngày càng khắt khe của khách hàng, ngành khách sạn thành phố cũng đã tiến hành nâng cao
chất lượng phục vụ qua nhiều hình thức như:
- Đẩy mạnh đầu tư xây mới, mở rộng và nâng cấp nhiều khách sạn trong hệ thống.
Trong đó điển hình là Saigontourist đã đầu tư cho Khách sạn Rex hơn 300 tỷ đồng
để xây dựng khu mới, nâng chất lượng phục vụ thành 5 sao. Đầu tư cho khách sạn
4 sao Novotel Saigon Center (Hai Bà Trưng, quận 1) 250 phòng và khách sạn 5 sao
Pullman Saigon Centre (Trần Hưng Đạo, quận 1) 300 phòng đang xây dựng sẽ đưa
vào hoạt động năm 2012-2013; khách sạn Majestic cũng vừa được khởi công mở
rộng thêm 353 phòng, hoàn thành năm 2014.
- Tổ chức các cuộc thi nâng cao chất lượng dịch vụ cung cấp như:
- Hội thi lễ tân khách sạn toàn quốcÆ khuyến khích sự tăng cường học hỏi và nâng
cao chất lượng phục vụ
- Mở rộng và tăng cường dịch vụ MICE tại khách sạn nhằm đáp ứng nhu cầu ngày
càng cao của khách hành doanh nhân.

c) “Sao” khách sạn:
Hiện nay, trên thế giới vẫn chưa có một tiêu chuẩn cụ thể, đồng nhất và chính thức
nào về việc phong sao khách sạn. Tiêu chuẩn Úc, hoạt động theo AAA Tourism thì khách
sạn 5 sao phải có dịch vụ phòng, dịch vụ concierge (như vé máy bay, gửi đồ, cung cấp bản
đồ, gọi xe cho khách), phải có các trang thiết bị đẹp, có nhiều loại phòng… Ở Anh thì ETC
(English Tourism Council’s) cũng quy định chung chung phòng phải rộng, nhân viên
chuyên nghiệp, không gian sang trọng…
Mỗi nước có những tiêu chuẩn riêng và những tiêu chuẩn ấy vẫn chỉ là một sự cố
gắng đáp ứng những yêu cầu của khách hàng và nâng cao tiêu chuẩn về sản phẩm du lịch
nước mình. Ở Việt Nam, Tổng cục Du lịch có ban hành quy định về tiêu chuẩn xếp hạng
khách sạn từ năm 2001 như sau:
Khách sạn đạt tiêu chuẩn xếp hạng từ 1 đến 5 sao: là khách sạn có cơ sở vật chất,
trang thiết bị, chất lượng phục vụ cao, đáp ứng được nhu cầu đa dạng của khách du lịch về
ăn, nghỉ, sinh hoạt, giải trí theo tiêu chuẩn của từng hạng, phù hợp với tiêu chuẩn quốc tế,
được đánh giá thông qua 5 nhóm chỉ tiêu chính sau:
1. Vị trí, kiến trúc
2. Trang thiết bị, tiện nghi phục vụ
3. Dịch vụ và mức độ phục vụ
4. Nhân viên phục vụ
5. Vệ sinh.
Quy định về thiết kế kiến trúc
Khách sạn 4 sao: Kiến trúc, xây dựng kiểu dáng đẹp, vật liệu xây dựng chất lượng
cao, nội ngoại thất được thiết kế hợp lý, đẹp.
Khách sạn 5 sao: Kiến trúc cá biệt, kiểu dáng đẹp, vật liệu xây dựng cao cấp. Nội
ngoại thất được thiết kế đẹp, trang nhã, toàn cảnh được thiết kế thống nhất.
Quy định về chất lượng và thái độ phục vụ:
Khách sạn 4 sao: Chất lượng phục vụ và thái độ phục vụ rất tốt, tận tình, chu đáo
luôn sẵn sàng đáp ứng mọi yêu cầu chính đáng của khách.
Khách sạn 5 sao: Chất lượng phục vụ hoàn hảo, thái độ phục vụ tận tình, chu đáo,
luôn sẵn sàng đáp ứng mọi yêu cầu chính đáng của khách.
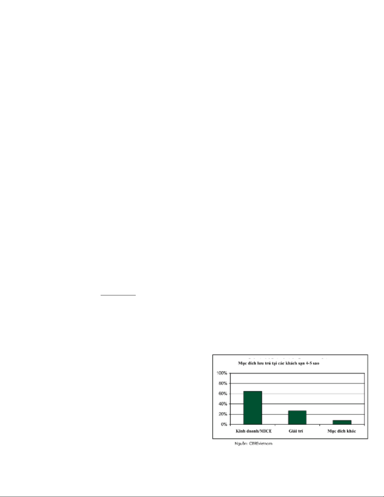
2. Thị trường khách
hàng:
Khách hàng của thị trường khách sạn khá
đa dạng và có nhiều mục đích khác nhau khi quyết
định sử dụng dịch vụ của một khách sạn. Trong
đó, tại thành phố HCM, có hai nguyên nhân chủ
yếu khi một khác hàng quyết định lưu trú tại

khách sạn là : MICE và giải trí, mục đích này phần lớn bị tác động bởi 2 yếu tố cơ bản: thứ
nhất thành phố HCm là trung tâm kinh tế lớn nhất nước, thứ 2 là ngành du lịch và giải trí tại
TP HCm phát triển khá mạnh.
Hiện tại có rất nhiều tiêu chuẩn để phân khúc thị trường cho ngành khách sạn thành
phố HCM , tuy nhiên ở đây, nhóm thực hiện chỉ đưa ra 1 cách phân loại là khách hành nội
địa và khách hàng nước ngoài để phân tích tình hình.
a) Khách hàng trong nước:
Là lượng khách mục tiêu trong những năm tới của ngành du lịch và khách sạn TP
HCM khi mà chất lượng cuộc sống được nâng cao thì nhu cầu về du lịch cũng tăng mạnh
qua các năm. Bên cạnh việc chọn các cơ sở lưu trú nhỏ, rẻ thì một phần khách nội địa sử
dụng dịch vụ khách sạn cao cấp cũng đang tăng dần, đặc biệt là người làm ăn đến thành phố.
b) Khách hàng nước ngoài
Trong những năm gần đây, số lượt khách quốc tế đến Việt Nam nói chung &
Tp.HCM nói riêng đếu tăng, chỉ có trong năm 2009 giảm 7% so với 2008 (năm 2009 đạt 3.7
triệu lượt khách quốc tế) do khủng hoảng kinh tế toàn câu. Riêng năm 2010 có đến hơn 5
triệu lượt khách quốc tế đến Việt Nam, tăng 34.8% so với năm 2009). Trong đó, tỉ lệ lượt
khách quốc tế đến TP.HCM luôn chiếm hơn 60% tổng lượt khách đến Việt Nam. Điều này
cho thấy thị trường du lịch lữ hành TP.HCM đang phát triển, nhu cầu về du lịch & lưu trú tại
TP.HCM rất cao.
LƯỢNG KHÁCH QUỐC TẾ ĐẾN VIỆT NAM VÀ TP HCM
ĐVT: triệu người

Đối với các quốc gia trong khu vữ như Singapo, Thái lan,…ngành khách sạn Việt
Nam nới chung cũng như TP HCM nói riêng còn là một ngành non trẻ, đặc biệt là lĩnh vực
khách sạn cao cấp.
Tuy nhiên, do sự phát triển về du lịch và kinh tế nên lượng du khách đến TP trong
các năm qua đã tăng nhanh chóng và đem lại một lượng khách hàng đầy tiềm năng cho
ngành khách sạn.
3.Tầm quan trọng:
Kinh doanh khách sạn đang ngày càng đóng vai trò quan trọng trong nền kinh tế,
không chỉ đem lại đóng góp vào GDP hàng năm mà còn góp phần vào sự phát triển kinh tế
Tp khi mà nhu cầu về ăn ở và tôt chức hội nghị của các Doanh nhân khi đến TP HCM là
măn ngày càng cao. Bên cạnh việc đem lại lợi nhuận, ngành khách sạn còn tạo công ăn việc
làm và thu nhập cho hầng ngàn lao động thuộc các lĩnh vực và trình độ tay nghề khác nhau
như : đầu bếp, tiếp tân, phục vụ,…
II. TỔNG QUAN VỀ KHÁCH SẠN CARAVELLE
1. Quá trình hình thành và phát triển
Khách sạn Caravelle là khách sạn quốc tế 5 sao hàng đầu tại Thành phố Hồ Chí
Minh, tọa lạc tại vị trí trung tâm Sài Gòn kể từ khi mở cửa vào năm 1959. Năm 1998,
khách sạn đã xây thêm một tòa nhà mới có 24 tầng, liền kề với tòa nhà 10 tầng trước đây.
Với tầm nhìn toàn cảnh thành phố và vị trí đối diện bên hông Nhà Hát Lớn, Caravelle là
khách sạn gắn liền với lịch sử thành phố của thành phố Hồ Chí Minh, được mệnh danh là
Hòn Ngọc Viễn Đông. Khách sạn Caravelle là nơi lưu trú của nhiều đoàn phóng viên
thuộc các tập đoàn báo chí quốc tế nổi tiếng trong Chiến tranh Việt Nam, thời điểm mà
Sài Gòn (nay là Thành phố Hồ Chí Minh) là trung tâm của những chuyển biến thay đổi
mỗi ngày. Ngày nay, Caravelle là địa điểm yêu thích của những người con xa quê hương
khi về lại Việt Nam và cả những vị khách muốn tìm về lịch sử Sài Gòn.
Từ phong cách kiến trúc kiểu Pháp, năm 1998 Caravelle được xây dựng và thiết
kế lại thành một khách sạn sang trọng, xa hoa và hiện đại. Caravelle tự hào với phong
cách sang trọng truyền thống, các tiện nghi hiện đại, tinh vi và khung cảnh trang nhã,
mang lại cảm giác vừa nhẹ nhàng vừa đột phá.
Khách sạn Caravelle là nơi lưu trú của nhiều đoàn phóng viên thuộc các tập đoàn
báo chí quốc tế nổi tiếng trong Chiến tranh Việt Nam, thời điểm mà Sài Gòn (nay là
Thành phố Hồ Chí Minh) là trung tâm của những chuyển biến thay đổi mỗi ngày. Ngày
nay, Caravelle là địa điểm yêu thích của những người con xa quê hương khi về lại Việt

