
THUỐC TIỀN MÊ
Là các thuốc được sử dụng cùng thuốc mê, nhằm mục đích:
- Tạo thuận lợi phát huy sớm tác dụng thuốc mê chính với liều thấp hơn,
do đó giảm được độc tính của thuốc mê.
- Hỗ trợ giảm đau, giãn cơ, chống nôn....
Các loại thuốc tiền mê đã học ở các chương khác.
Phần dưới đây chỉ đề cập thuốc giãn cơ phẫu thuật.
* Thuốc giãn cơ vận động dùng làm thuốc tiền mê
Cơ chế giãn cơ vân: Phong bế vị trí liên kết TK-cơ vân.
Căn cứ vào thời điểm phát huy và thời hạn tác dụng để chọn thuốc giãn cơ
tiền mê phù hợp với yêu cầu phẫu thuật ngắn hoặc kéo dài:
+ Kéo dài, dùng loại tác dụng kéo dài: Doxacurium clorid...
+ Phẫu thuật ngắn, thủ thuật cần giãn cơ (luồn ống dẫn...):

Dùng loại phát huy tác dụng nhanh và thời gian giãn cơ ngắn; ví dụ
succinylcholin clorid.
Bảng 10 -T. tiền mê/dh
Bảng...Thuốc giãn cơ dùng / phẫu thuật, luồn ống nội soi
Tác dụng
Tên thuốc
phát huy(*) kéo dài
Liều dùng
(ban đầu)
Alcuronium chloride 2’ 20-30’ IV: 150-
250g/kg
Atracurium besilate 2’ 15-35’ IV: 300-
600g/kg
Cisatracurium besilate 2’ 15-35’ IV: 150 g/kg
Doxacurium clorid 5’ 100’ IV: 50 g/kg
Gallamine triethiodide 1-2’ 20-30’ IV: 20g/kg

Mivacurium clorid 1,5-2,5’ 10-20’ IV: 70-250g/kg
Pancuronium bromid 1,5-2’ 45-60’ IV: 50-100g/kg
Pipecuronium bromide 2,5-3’ 30-120’ IV: 80-100
g/kg
Rocuronium bromid 1-2’ 30-50’ IV: 600g/kg
Succinylcholine clorid 30-60” 2-6’ IV: 100g/kg
Tubocurarin clorid 1’ 30’ IV: 6-9 mg
Vecuronium bromid 1,5-2’ 20-30’ IV: 80-100g/kg
Ghi chú:
- Atracurium và Cisatracurium là đồng phân không gian.
- Phát huy (*): Thể hiện giãn cơ sau tiêm IV.
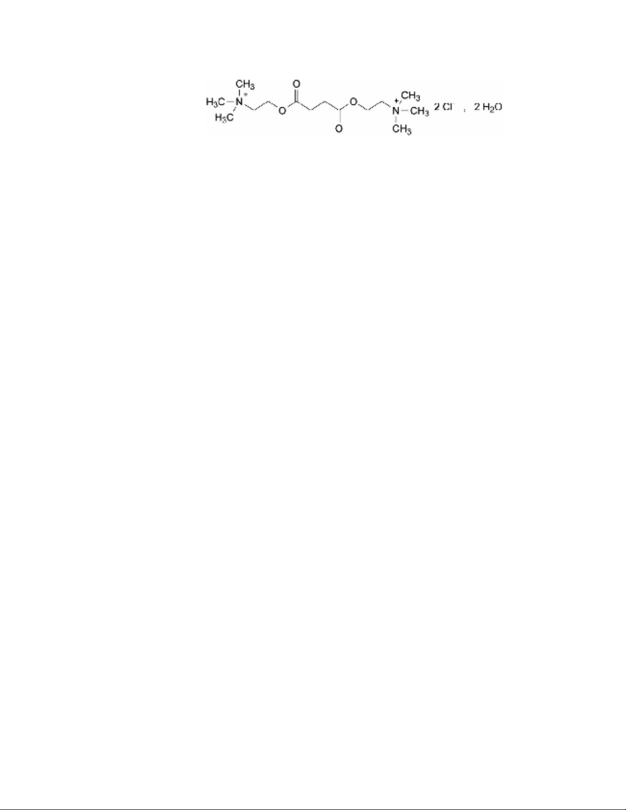
SUCCINYLCHOLINE CHLORIDE
Tên khác: Suxamethonium chloride

Công thức:
C14H30Cl2N2O4 .2H2O
ptl : 397,3
Tên KH: 2,2'-[Butanedioylbis(oxy)] bis(N,N,N-trimethylethanaminium)
dichloride
Tính chất: Bột kết tinh màu trắng, hút ẩm. F 160o C.
Dễ tan trong nước; tan vừa trong Et-OH.
Định tính:
- Phổ IR, so với chuẩn. phản ứng của ion Cl-.
- Chuẩn bị dung dịch 25 mg chất thử/1 ml nước;
Thêm 0,1 ml CoCl2 1% và 0,1 ml kali ferrocyanid (R): Màu xanh lục.
Định lượng: 0,150 g chất thử/50 ml anhydrid acetic.
Chuẩn độ bằng HClO4 0,1 M ; đo điện thế.
Bảng 11 -T. tiền mê/dh Succinylcholine-tiếp

Tác dụng: Phong bế thần kinh cơ, gây giãn cơ.
Thủy phân nhanh, giải phóng cholin và nhanh phát huy tác dụng.
Dược động học: Thời hạn tác dụng ngắn.
Chỉ định: Giãn cơ phẫu thuật ngắn, luồn ống nội soi thăm dò.
Cách dùng và liều dùng:
Người lớn, tiêm IV liều đơn 0,3-1,1 mg/kg. Nếu cần tiêm bổ sung tiêm 50-
100% liều đầu, sau 5-10 phút. Không vượt qúa 500 mg/h.
Trẻ em (kháng thuốc > người lớn): Tiêm tĩnh mạch 1-2 mg/kg.
Chú ý: Điều chỉnh liều dùng theo tình trạng từng bệnh nhân.
Dạng bào chế: Thuốc tiêm 50 mg/ml, ống 10 ml.
Tác dụng KMM:
- Suy giảm hô hấp do giãn cơ hoành.
- Tăng giải phóng histamin gây giãn mạch hạ huyết áp, hen phế quản.
- Phong bế hạch thần kinh tim, gây tăng nhịp phản hồi.
Chống chỉ định: Bệnh gan, phẫu thuật mắt, glaucom, nhược cơ nặng.

