
1
Tín HiệuvàHệThống
Bài 3: Biểudiễn tín hiệuvàhệthống
trên miềnthời gian
Đỗ Tú Anh
tuanhdo-ac@mail.hut.edu.vn
Bộmôn Điềukhiểntựđộng, Khoa Điện

2
Chương 2: Biểudiễn tín hiệuvà
hệthống trên miềnthờigian
2.1 Các hệthống LTI liên tục
2.1.1 Tích chập
2.1.2 Đáp ứng quá độ
2.1.3 Các tính chất
2.1.4 Phương trình vi phân
2.1.4 Sơđồkhối
2.2 Các hệthống LTI gián đoạn
2
EE3000-Tín hiệuvàhệthống

3
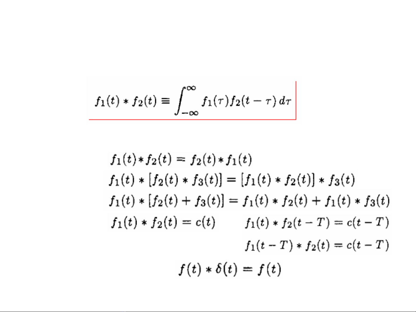
Tích chập
Định nghĩa
Các tính chấtcủatíchchập
–Giao hoán
–Kếthợp
–Phân phối
–Dịch Nếuthì
và
–Nhânchậpvớixung dirac
3
EE3000-Tín hiệuvàhệthống

4
Tính tích chập
Xoay một trong hai hàm quanh trục tung
Dịch hàm đóđit
Nhân hàm đãđượcxoayvàdịch đóvớihàm
còn lại
Tính diện tích tạobởi tích này vớitrục hoành
Phương pháp hình học
Viếtkếtquảf1(t)*f2(t) thành hàm củat
4
EE3000-Tín hiệuvàhệthống

5
Tính tích chập-Ví dụ1
Tính tích chậpcủa hai hàm sau
Thay t bởiτvào hai hàm f(t) và g(t)
Chọnxoay và dịch g(τ) bởinóđơngiảnvà đốixứng
Hai hàm chồng lên nhau nhưhình bên
5
EE3000-Tín hiệuvàhệthống

