
BỘ GIÁO DỤC VÀ ĐÀO TẠO
TRƯỜNG…………………
TIỂU LUẬN
Cơ chế hình thành và hoạt động của glycogen.
Vai trò và ý nghĩa sinh học

GVHD: ThS. Lâm Khắc Kỷ
Page 1
Lời mở đầu
Glucose là nhiên liệu chủ yếu của hầu hết các cơ thể sống và đóng vai trò trung tâm
trong chuyển hóa. Sự oxy hóa hoàn toàn glucose thành CO2 và H2O theo phản ứng
C6H12O6 + 6O2 6CO2 + 6H2O giải phóng một năng lượng tự do. Glucose không chỉ là
một nhiên liệu tuyệt vời mà còn là tiền chất quan trọng, có khả năng tạo nên một lượng
lớn các chất chuyển hóa trung gian, các chất cần thiết cho các phản ứng tổng hợp. Từ
glucose có thể tổng hợp được một số amin, nucleotid, coenzyme, acid béo và nhiều chất
chuyển hóa trung gian cần thiết cho sự phát triển của cơ thể. Glucose có thể có hàng trăm
hoặc hàng ngàn cách biến hóa khác nhau. Ở cơ thể bậc cao hoặc động vật, glucose có 3
số phận chủ yếu như sau: có thể được dự trữ dưới dạng polysaccarid hoặc saccarose,
được oxy hóa để tạo thành hợp chất ba cacbon ( pyruvat) theo con đường đường phân
hoặc oxy hóa để tạo thành các pentose theo con đường pentose phosphat.
Cũng giống như tất cả các con đường chuyển hóa, chuyển hóa glucid cũng được cơ
thể điều hòa một cách chặt chẽ. Để biết được sự điều hòa nó diễn ra như thế nào, ảnh
hưởng của cơ thể khi có hay không có cơ chế này nhóm chúng tôi đã chọn đề tài “ Cơ
chế hình thành và hoạt động của glycogen. Vai trò và ý nghĩa sinh học”

GVHD: ThS. Lâm Khắc Kỷ
Page 2
NỘI DUNG
1. Cấu tạo của glycogen
Glycogen là chất dự trữ glucid của động vật, có thể coi glycogen như là "tinh bột" của
động vật, vì nó cũng gồm 2 liên kết α -D 1-4 và α-D 1-6 glucoside, nhưng nó khác tinh
bột ở chỗ là sự rẽ nhánh rậm rạp hơn, cứ cách 8-10 phân tử glucose có một liên kết nhánh
α-D 1-6. Glycogen có nhiều ở gan ( chiếm 5-7% khối lượng của gan) ở cơ nó chiếm 2%
khối lượng của cơ, do khối lượng cơ là lớn nên glycogen có ở cơ là chính. Hàm lượng
này có thể biến động phụ thuộc vào dinh dưỡng và trạng thái sinh lý (đói, no, lao động,
ngủ, thức...)
Hình 1.1 Cấu trúc phân tử glycogen
2. Cơ chế hình thành
Tổng hợp glycogen xảy ra ở mọi tổ chức nhưng mạnh nhất là ở gan và cơ xương. Ở
gan, glycogen đóng vai trò dự trữ glucose và sẵn sàng cung cấp glucose cho các tổ chức
khác sử dụng, đồng thời nó đảm bảo mức đường huyết hằng định trong máu kể cả thời
điểm xa bữa ăn. Còn ở cơ, glycogen được dùng để thoái hóa thành glucose theo con
đường Đường phân, cung cấp năng lượng ATP cho sự co cơ.
Quá trình tổng hợp glycogen bắt đầu từ G6P là sản phẩm do phản ứng phosphoryl hóa
glucose xúc tác bởi hexokinase (ở gan) và glucose kinase (ở cơ):
D-glucose + ATP → D-glucose-6-phosphat +ADP

GVHD: ThS. Lâm Khắc Kỷ
Page 3
Hình 2.1. Phosphoryl hóa glucose
Tuy nhiên, phần lớn G6P lại là sản phẩm của con đường tân tạo glucose; glucose
trong thức ăn được hấp thu vào máu, biến đổi thành lactat rồi được gan thu nhận và biến
đổi thành G6P. Từ G6P, nó được đồng phân hóa thuận nghịch thành G1P nhờ
phosphoglucomutase:
Glucose-6-phosphat ↔ Glucose-1-phosphat
Hình 2.2. Đồng phân hóa G6P
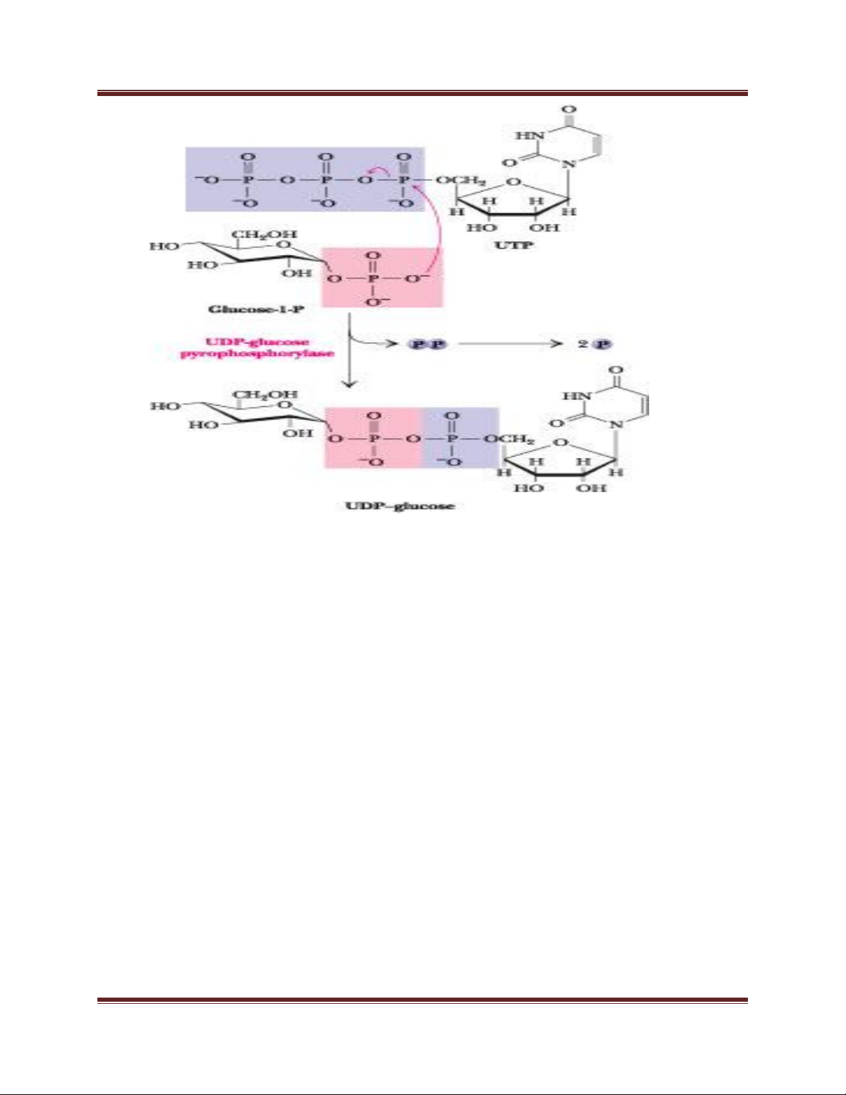
Tiếp theo là phản ứng then chốt nhất trong quá trình tổng hợp glycogen: Phản ứng
tạo UDP-glucose (UDPG) xúc tác bởi UDPG pyrophosphorylase:
Glucose-1-phosphat + UTP → UDP-glucose + Ppi

GVHD: ThS. Lâm Khắc Kỷ
Page 4
Hình 2.3. Tạo UDP-glucose
Phản ứng xảy ra theo chiều tạo UDPG vì pyrophossphat bị thủy phân rất nhanh thành
ortophosphat nhờ có pyrophosphat vô cơ.
UDPG chính là chất trung gian để biến đổi galactose thành glucose. Nó chính là “chất
cho” gốc glucose trong quá trình tổng hợp glycogen dưới tác dụng của glycogen
synthase. Có thể có hai trường hợp xảy ra:
2.1 Trường hợp có chuỗi glucan sẵn
Enzym glycogen synthase xúc tiến việc chuyển gốc glycosyl từ UDPG tới gắn vào
đầu không khử (C-4) của một phân tử glycogen có n gốc glucose có sẵn (hình 8.24) để
tạo thêm một liên kết mới (α -1→4) glucosid, nghĩa là tạo thành glycogen có n+1 gốc
glucose.

