
Khaûo saùt öùng duïng MATLAB trong ñieàu khieån töï ñoäng
Thöïc hieän: PHAÏM QUOÁC TRÖÔØNG - 21 - GVHD: PHAÏM QUANG HUY
B =
1
0
0
C =
0 6 12
B =
1
0
0
Bien doi ham truyen lien tuc sang roi rac la;
nhap thoi gian lay mau(vi du: Ts=0.1), Ts= 0.1
numd =
0 0.0263 0.0015 -0.0189
dend =
1.0000 -2.4619 2.0197 -0.5488
Gia tri rieng,bien do,tan so
va he so suy giam tuong duong cua ham truyen cua he thong roi rac
thoi gian lay mau Ts la:
Eigenvalue Magnitude Equiv. Damping Equiv. Freq. (rad/s)
-4.00e+000 4.00e+000 -4.04e-001 3.43e+001
-1.00e+000 + 1.41e+000i 1.73e+000 -2.44e-001 2.25e+001
-1.00e+000 - 1.41e+000i 1.73e+000 -2.44e-001 2.25e+001

Khaûo saùt öùng duïng MATLAB trong ñieàu khieån töï ñoäng
Thöïc hieän: PHAÏM QUOÁC TRÖÔØNG - 1 - GVHD: PHAÏM QUANG HUY
NHOÙM LEÄNH VEÀ ÑAÙP ÖÙNG TAÀN SOÁ
(Frequency Response)
1. Leänh BODE
a) Coâng duïng:
Tìm vaø veõ ñaùp öùng taàn soá giaûn ñoà Bode.
b) Cuù phaùp:
[mag,phase,w] = bode(a,b,c,d)
[mag,phase,w] = bode(a,b,c,d,iu)
[mag,phase,w] = bode(a,b,c,d,iu,w)
[mag,phase,w] = bode(num,den)
[mag,phase,w] = bode(num,den,w)
c) Giaûi thích:
Leänh bode tìm ñaùp öùng taàn soá bieân ñoä vaø pha cuûa heä lieân tuïc LTI. Giaûn ñoà
Bode duøng ñeå phaân tích ñaëc ñieåm cuûa heä thoáng bao goàm: bieân döï tröõ, pha döï tröõ, ñoä
lôïi DC, baêng thoâng, khaû naêng mieãn nhieãu vaø tính oån ñònh.
Neáu boû qua caùc ñoái soá ôû veá traùi cuûa doøng leänh thì leänh bode seõ veõ ra giaûn ñoà
Bode treân maøn hình.
bode(a,b,c,d) veõ ra chuoãi giaûn ñoà Bode, moãi giaûn ñoà töông öùng vôùi moät ngoõ vaøo
cuûa heä khoâng gian traïng thaùi lieân tuïc:
BuAxx +=
.
y = Cx + Du
vôùi truïc taàn soá ñöôïc xaùc ñònh töï ñoäng. Neáu ñaùp öùng thay ñoåi nhanh thì caàn phaûi
xaùc ñònh nhieàu ñieåm hôn.
bode(a,b,c,d,iu) veõ ra giaûn ñoà Bode töø ngoõ vaøo duy nhaát iu tôùi taát caû caùc ngoõ ra
cuûa heä thoáng vôùi truïc taàn soá ñöôïc xaùc ñònh töï ñoäng. Ñaïi löôïng voâ höôùng iu laø chæ soá
ngoõ vaøo cuûa heä thoáng vaø chæ ra ngoõ vaøo naøo ñöôïc söû duïng cho ñaùp öùng giaûn ñoà Bode.
bode(num,den) veõ ra giaûn ñoà Bode cuûa haøm truyeàn ña thöùc heä lieân tuïc
G(s) = num(s)/den(s)
trong ñoù num vaø den chöùa caùc heä soá ña thöùc theo chieàu giaûm daàn soá muõ cuûa s.
bode(a,b,c,d,iu,w) hay bode(num,den,w) veõ ra giaûn ñoà Bode vôùi vector taàn soá
w do ngöôøi söû duïng xaùc ñònh. Vector w chæ ra caùc ñieåm taàn soá (tính baèng rad/s) maø taïi
ñoù ñaùp öùng taàn soá giaûn ñoà Bode ñöôïc tính.
Neáu vaãn giöõ laïi caùc ñoái soá ôû veá traùi cuûa doøng leänh thì:
[mag,phase,w] = bode(a,b,c,d)
[mag,phase,w] = bode(a,b,c,d,iu)
[mag,phase,w] = bode(a,b,c,d,iu,w)
[mag,phase,w] = bode(num,den)
[mag,phase,w] = bode(num,den,w)

Khaûo saùt öùng duïng MATLAB trong ñieàu khieån töï ñoäng
Thöïc hieän: PHAÏM QUOÁC TRÖÔØNG - 2 - GVHD: PHAÏM QUANG HUY
Seõ khoâng veõ ra giaûn ñoà Bode maø taïo ra caùc ma traän ñaùp öùng taàn soá mag, phase
vaø w cuûa heä thoáng. Ma traän mag vaø phase coù soá coät baèng soá ngoõ ra vaø moãi haøng öùng
vôùi moät thaønh phaàn trong vector w.
G(s) = C(sI –A)-1B + D
mag(ω) = ⏐G(jω)⏐
phase(ω) = ∠G(jω)
Goùc pha ñöôïc tính baèng ñoä. Giaù trò bieân ñoä coù theå chuyeån thaønh decibel theo
bieåu thöùc:
magdB = 20*log10(mag)
Chuùng ta coù theå duøng leänh fbode thay cho leänh bode ñoái vôùi caùc heä thoáng coù
theå cheùo nhau. Noù söû duïng caùc thuaät giaûi nhanh hôn döïa treân söï cheùo hoùa cuûa ma traän
heä thoáng A.
d) Ví duï:
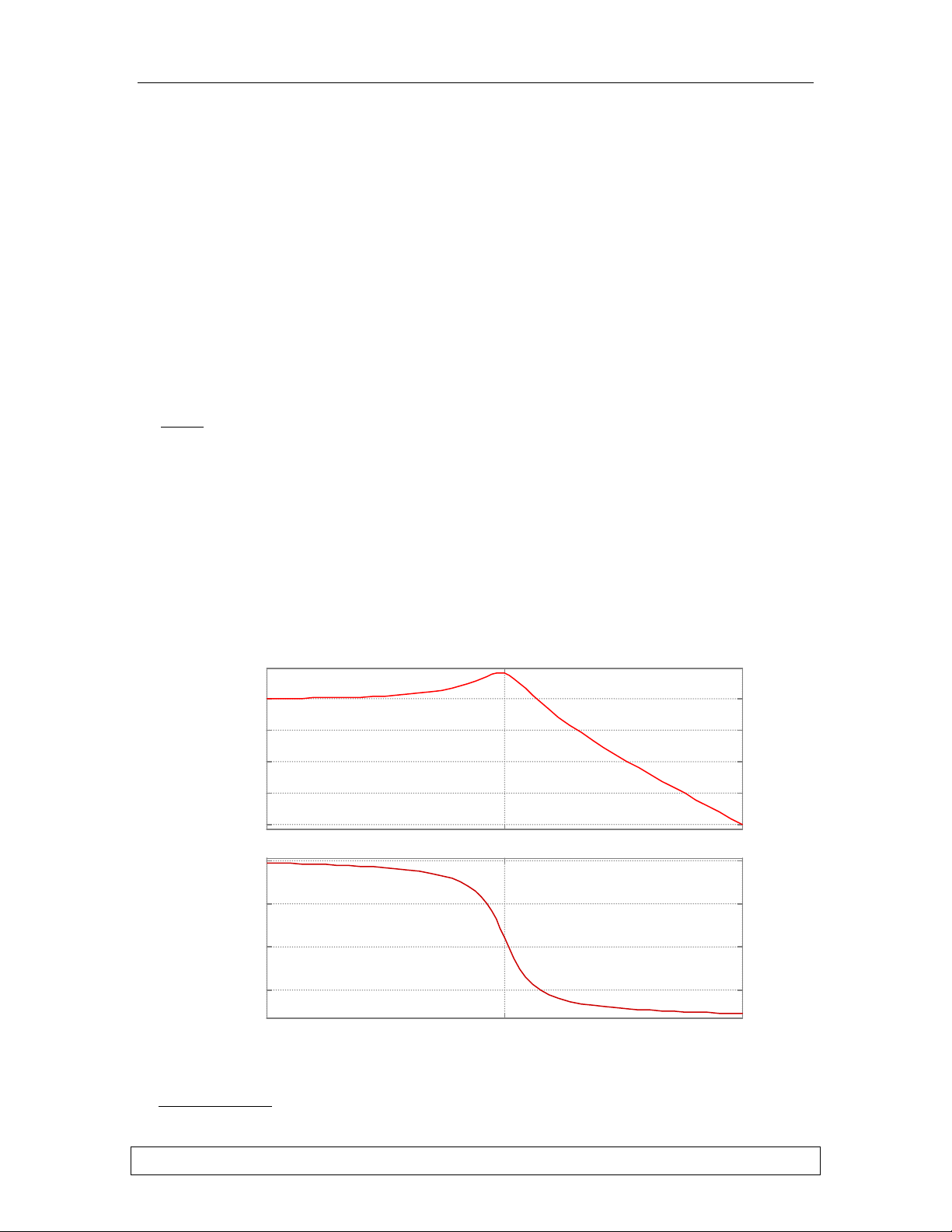
Veõ ñaùp öùng bieân ñoä vaø pha cuûa heä baäc 2 vôùi taàn soá töï nhieân ωn= 1 vaø heä soá taét
daàn ζ = 0.2
[a,b,c,d] = ord2(1,0.2);
bode(a,b,c,d)
grid on
vaø ta ñöôïc giaûn ñoà Bode ñaùp öùng taàn soá cuûa heä thoáng nhö sau:
Frequency (rad/sec)
Phase (deg); Magnitude (dB)
Bode Diagrams
-40
-30
-20
-10
0
10
-1
10
0
10
1
-150
-100
-50
0
2. Leänh FBODE

Khaûo saùt öùng duïng MATLAB trong ñieàu khieån töï ñoäng
Thöïc hieän: PHAÏM QUOÁC TRÖÔØNG - 3 - GVHD: PHAÏM QUANG HUY
a) Coâng duïng:
Veõ ñaùp öùng taàn soá giaûn ñoà Bode cho heä tuyeán tính lieân tuïc.
b) Cuù phaùp:
[mag,phase,w] = fbode(a,b,c,d)
[mag,phase,w] = fbode(a,b,c,d,iu)
[mag,phase,w] = fbode(a,b,c,d,iu,w)
[mag,phase,w] = fbode(num,den)
[mag,phase,w] = fbode(num,den,w)
c) Giaûi thích:
Leänh fbode tìm nhanh ñaùp öùng taàn soá bieân ñoä vaø pha cuûa heä lieân tuïc LTI.
Neáu boû qua caùc ñoái soá ôû veá traùi cuûa doøng leänh thì leänh fbode seõ veõ ra giaûn ñoà
Bode treân maøn hình.
fbode(a,b,c,d) veõ ra chuoãi giaûn ñoà Bode, moãi giaûn ñoà töông öùng vôùi moät ngoõ vaøo
cuûa heä khoâng gian traïng thaùi lieân tuïc:
BuAxx +=
.
y = Cx + Du
vôùi truïc taàn soá ñöôïc xaùc ñònh töï ñoäng. Neáu ñaùp öùng thay ñoåi nhanh thì caàn phaûi
xaùc ñònh nhieàu ñieåm hôn.
fbode(a,b,c,d,iu) veõ ra giaûn ñoà Bode töø ngoõ vaøo duy nhaát iu tôùi taát caû caùc ngoõ
ra cuûa heä thoáng vôùi truïc taàn soá ñöôïc xaùc ñònh töï ñoäng. iu laø chæ soá ngoõ vaøo cuûa heä
thoáng vaø chæ ra ngoõ vaøo naøo ñöôïc söû duïng cho ñaùp öùng giaûn ñoà Bode. fbode nhanh
hôn nhöng keùm chính xaùc hôn bode.
fbode(num,den) veõ ra giaûn ñoà Bode cuûa haøm truyeàn ña thöùc heä lieân tuïc
G(s) = num(s)/den(s)
trong ñoù num vaø den chöùa caùc heä soá ña thöùc theo chieàu giaûm daàn soá muõ cuûa s.
fbode(a,b,c,d,iu,w) hay fbode(num,den,w) veõ ra giaûn ñoà Bode vôùi vector taàn soá
w do ngöôøi söû duïng xaùc ñònh. Vector w chæ ra caùc ñieåm taàn soá (tính baèng rad/s) maø taïi
ñoù ñaùp öùng taàn soá giaûn ñoà Bode ñöôïc tính.
Neáu vaãn giöõ laïi caùc ñoái soá ôû veá traùi cuûa doøng leänh thì:
[mag,phase,w] = fbode(a,b,c,d)
[mag,phase,w] = fbode(a,b,c,d,iu)
[mag,phase,w] = fbode(a,b,c,d,iu,w)
[mag,phase,w] = fbode(num,den)
[mag,phase,w] = fbode(num,den,w)
seõ khoâng veõ ra giaûn ñoà Bode maø taïo ra caùc ma traän ñaùp öùng taàn soá mag, phase
vaø w cuûa heä thoáng. Ma traän mag vaø phase coù soá coät baèng soá ngoõ ra vaø coù soá haøng laø
length(w).
d) Ví duï:
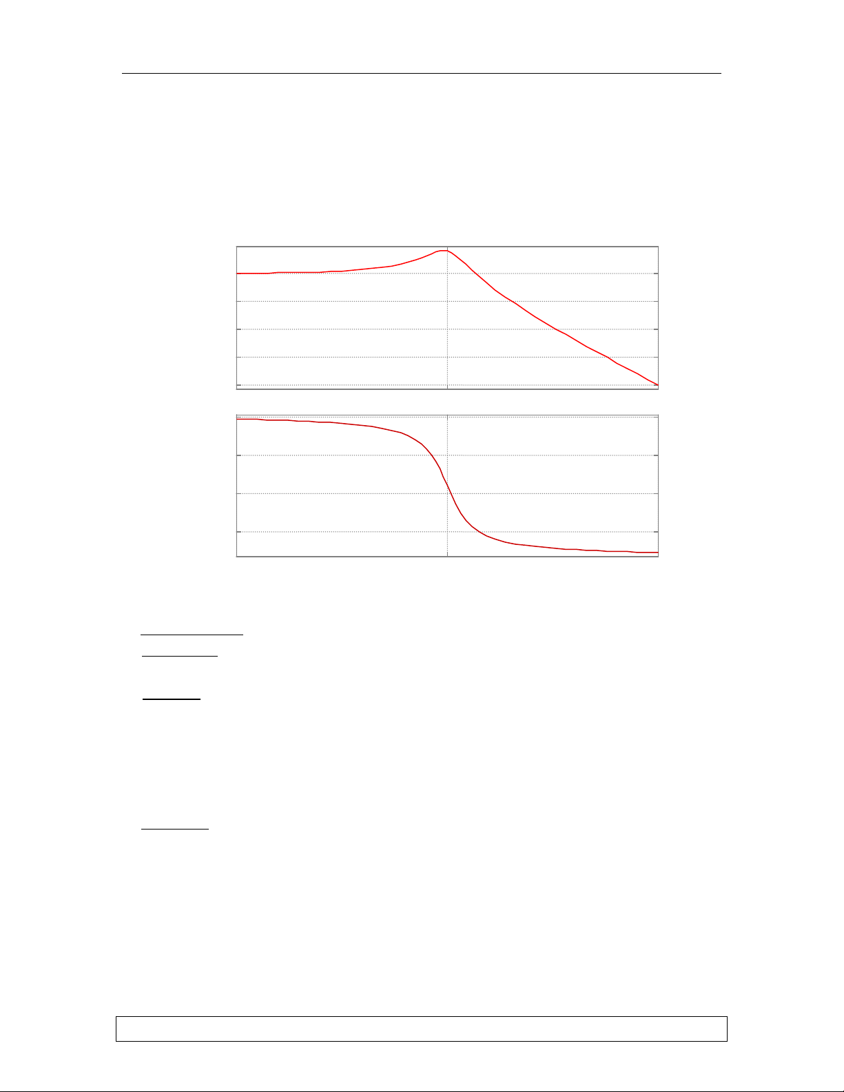
Veõ ñaùp öùng bieân ñoä vaø pha cuûa heä baäc 2 vôùi taàn soá töï nhieân ωn= 1 vaø heä soá taét
daàn ζ = 0.2

Khaûo saùt öùng duïng MATLAB trong ñieàu khieån töï ñoäng
Thöïc hieän: PHAÏM QUOÁC TRÖÔØNG - 4 - GVHD: PHAÏM QUANG HUY
[a,b,c,d] = ord2(1,0.2);
fbode(a,b,c,d); grid on
vaø ta ñöôïc ñaùp öùng nhö sau:
Frequency (rad/sec)
Phase (deg); Magnitude (dB)
Bode Diagrams
-40
-30
-20
-10
0
10
-1
10
0
10
1
-150
-100
-50
0
3. Leänh DBODE
a) Coâng duïng:
Tìm vaø veõ ñaùp öùng taàn soá giaûn ñoà Bode cuûa heä giaùn ñoaïn.
b) Cuù phaùp:
[mag,phase,w] = dbode(a,b,c,d,Ts)
[mag,phase,w] = bode(a,b,c,d,Ts,iu)
[mag,phase,w] = bode(a,b,c,d,Ts,iu,w)
[mag,phase,w] = bode(num,den,Ts)
[mag,phase,w] = bode(num,den,Ts,w)
c) Giaûi thích:
Leänh dbode tìm ñaùp öùng taàn soá bieân ñoä vaø pha cuûa heä lieân tuïc LTI. Leänh
dbode khaùc vôùi leänh freqz maø trong ñoù ñaùp öùng taàn soá ñaït ñöôïc vôùi taàn soá chöa chuaån
hoùa. Ñaùp öùng coù ñöôïc töø dbode coù theå ñöôïc so saùnh tröïc tieáp vôùi ñaùp öùng leänh bode
cuûa heä thoáng lieân tuïc töông öùng. Neáu boû qua caùc ñoái soá ôû veá traùi cuûa doøng leänh thì
leänh dbode seõ veõ ra giaûn ñoà Bode treân maøn hình.
dbode(a,b,c,d,Ts) veõ ra chuoãi giaûn ñoà Bode, moãi giaûn ñoà töông öùng vôùi moät ngoõ
vaøo cuûa heä khoâng gian traïng thaùi lieân tuïc:

