
LỜI MỞ ĐẦU
Trong nền kinh tế, các trung gian tài chính bảo hiểm là một kênh huy động
vốn đầu tư không thể thiếu và đầy tiềm năng. Bảo hiểm nhân thọ dài hạn vừa là
nguồn bổ sung vốn đầu tư phát triển, vừa là biện pháp bảo vệ an ninh quốc gia,
đảm bảo và ổn định đời sống kinh tế - xã hội ở mỗi nước.
Thị trường bảo hiểm bùng nổ, vấn đề đầu tư tài chính của doanh nghiệp bảo
hiểm đã và đang trở thành vấn đề sống còn, nhất là đối với doanh nghiệp bảo hiểm
nhân thọ.
Đầu tư tài chính hiệu quả giúp doanh nghiệp bảo hiểm nhân thọ bảo toàn
quỹ tài chính bảo hiểm, góp phần nâng cao tiềm lực tài chính và đứng vững trong
cạnh tranh. Thêm nữa, thu nhập từ đầu tư tài chính còn là nguồn để doanh nghiệp
bảo hiểm nhân thọ thực hiện các cam kết với khách hàng, nâng cao tính hấp dẫn của
các sản phẩm bảo hiểm nhân thọ.Trên thế giới, các công ty bảo hiểm nhân thọ lớn
coi đầu tư tài chính là hoạt động mang lại thu nhập chính và luôn được coi trọng.
Có thể nói hoạt động đầu tư của DNBH nhân thọ có vai trò rất lớn không
những đối với DNBH nhân thọ mà còn đối với toàn bộ tư tài chính của nền kinh tế.
Với ý nghiã đó, em chọn đề tài
"Bàn về hoạt động đầu tư trong doanh nghiệp bảo hiểm nhân thọ"
Cấu trúc của bài viết gồm ba phần:
Phần I: Lý luận chung về hoạt động đầu tư của doanh nghiệp
bảo hiểm nhân thọ.
Phần II: Thực trạng hoạt động đầu tư của một số doanh nghiệp bảo
hiểm nhân thọ trên thị trường bảo hiểm Việt Nam
Phần III: Một số kiến nghị và giải pháp
Đây là một đề tài còn khá mới mẻ, và nguồn số liệu thu thập được còn hạn
chế nên bài viết chắc còn nhiều thiếu sót. Em rất mong được sự chỉ bảo và góp ý
của cô giáo để bài viết được hoàn chỉnh hơn.
Cuối cùng em xin chân thành cảm ơn cô giáo - Thạc sỹ Phạm Thị Định đã
nhiệt tình giảng dạy và giúp đỡ em rất nhiều để em hoàn thành được bài viết này.
Hà Nội ngày 29/12/03
I.LÝ LUẬN CHUNG

2
1.LÝ LUẬN CHUNG VỀ HOẠT ĐỘNG ĐẦU TƯ TRONG DOANH NGHIỆP BẢO
HIỂM NHÂN THỌ :
1.1.Khái niệm về hoạt động đầu tư trong doanh nghiệp bảo hiểm
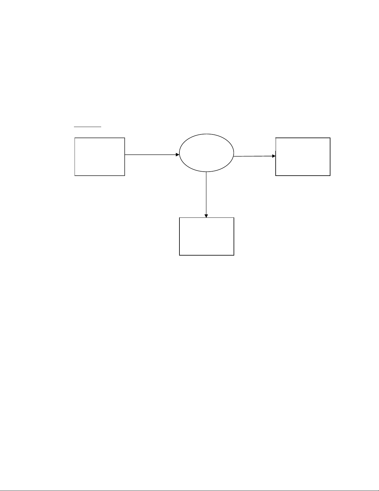
Bảo hiểm là sự chia nhỏ tổn thất của một số ít người cho nhiều người có
cùng khả năng gặp phải những rủi ro tương tự bằng cách thu của họ một khoản tiền
gọi là phí bảo hiểm để hình thành nên quỹ tài chính bảo hiểm từ đó bồi thường (chi
trả) cho họ những thiệt hại về tài chính do rủi ro bất ngờ gây nên .
Sơ đồ 1: Cơ chế hoạt động của doanh nghiệp bảo hiểm .
Đặc thù của hoạt động kinh doanh bảo hiểm là "sự đảo ngược của chu kỳ sản
xuất kinh doanh". Việc tiêu thụ sản phẩm dựa trên quy trình: phí bảo hiểm được thu
trước, còn cam kết trả tiền bảo hiểm được thực hiện sau. Giá trị sử dụng của sản
phẩm bảo hiểm chỉ được thực hiện sau khi mua một khoảng thời gian nhất định.
Như vậy doanh nghiệp bảo hiểm (DNBH) có trong tay một quỹ tài chính tập trung
khá lớn, nhưng quỹ này sẽ không được sử dụng để bồi thường ngay nên DNBH có
thể sử dụng lượng tiền nhàn rỗi này để đầu tư .
Như vậy: Đầu tư tài chính của một doanh nghiệp bảo hiểm là việc doanh
nghiệp bảo hiểm sử dụng các nguồn vốn nhàn rỗi để đầu tư vào các lĩnh vực đầu tư
theo luật định. Mỗi nước khác nhau thì có những quy định khác nhau về lĩnh vực
đầu tư của DNBH.
1.2.Đặc điểm của hoạt động đầu tư trong doanh nghiệp bảo hiểm nhân thọ:
Đối với doanh nghiệp bảo hiểm nhân thọ, hoạt động đầu tư quỹ tài chính rất
phức tạp do sản phẩm bảo hiểm nhân thọ cũng đa dạng và phức tạp hơn, lại thêm
cạnh tranh khốc liệt trên thị trường.Hợp đồng bảo hiểm nhân thọ thường là hợp
đồng dài hạn nên hoạt động đầu tư của doanh nghiệp bảo hiểm nhân thọ có một số
đặc trưng cơ bản sau:
Quỹ tà i
chí nh
BH
Người
tham gia
Bảo hiểm
Người tham
gia BH gặp
rủi ro
Người Bảo
Hiểm
Phí b
ả
o hi
ể
m
Chi tr
ả
Qlý

3
Một đặc điểm chung của hoạt động đầu tư của doanh nghiệp bảo hiểm
nhân thọ là chịu tác động rất lớn của những thay đổi về lãi suất và lạm phát do
nguồn vốn đem đầu tư thường là dài hạn.
Do tính chất dài hạn của các hợp đồng bảo hiểm nhân thọ và nhu cầu
chi có thể dự đoán được một cách khá chính xác nên các quỹ bảo hiểm nhân thọ
thường đầu tư vào các loại chứng khoán dài hạn.
Quy mô các quỹ bảo hiểm nhân thọ lớn hơn các quỹ bảo hiểm phi
nhân thọ xét dưới góc độ phí bảo hiểm.
Thu nhập của công ty bảo hiểm nhân thọ thường lớn hơn các khoản
chi và tất cả các khiếu nại có thể được thanh toán từ phí bảo hiểm và thu nhập từ
đầu tư trong năm. Do vậy, DNBH nhân thọ ít có nhu cầu đầu tư vào chứng khoán
ngắn hạn.
Theo nghiên cứu của các chuyên gia tính toán thì một hợp đồng bảo
hiểm phù hợp với công ty bảo hiểm nhân thọ là một hợp đồng mà ngày thanh toán
đáo hạn của hợp đồng trùng với ngày thanh toán đáo hạn của hạng mục đầu tư.
Đầu tư nước ngoài của quỹ bảo hiểm nhân thọ thường ít hơn bảo hiểm
phi nhân thọ.
Bảo hiểm nhân thọ có tính tiết kiệm nên việc đầu tư có ảnh hưởng lớn
đến khả năng cạnh tranh của doanh nghiệp bảo hiểm trên thị trường.
1.3.Vai trò của hoạt động đầu tư trong DNBH nhân thọ.
1.3.1.Đối với doanh nghiệp bảo hiểm :
DNBH không chỉ có nhiệm vụ thu chi quỹ tài chính bảo hiểm mà còn phải
phát triển quỹ tài chính này. Đầu tư tài chính nguồn vốn nhàn rỗi có ý nghĩa quan
trọng cho sự tồn tại và phát triển của doanh nghiệp bảo hiểm. Đầu tư có hiệu quả
chính là phát triển quỹ tài chính của DNBH.
-Hoạt động đầu tư có ảnh hưởng trực tiếp đến năng lực tài chính và khả năng
cạnh tranh của doanh nghiệp bảo hiểm trên thị trường. Tỷ suất lợi nhuận đầu tư cao
sẽ giúp doanh nghiệp bảo hiểm có điều kiện giảm phí bảo hiểm, từ đó tạo lợi thế
so với đối thủ cạnh tranh.
- Chiến lược thiết kế và bán sản phẩm của doanh nghiệp cũng bị chi phối bởi
hoạt động đầu tư thông qua việc định giá các sản phẩm bảo hiểm, mở rộng phạm vi
trách nhiệm cũng như tăng thêm quyền lợi cho khách hàng.
-Hoạt động đầu tư đóng góp vào sự tăng trưởng thu nhập và lợi nhuận của
của doanh nghiệp bảo hiểm, từ đó giúp doanh nghiệp bảo hiểm mở rộng quy mô,
tăng thêm thu nhập cho người lao động. Đồng thời còn giúp các doanh nghiệp bảo
hiểm bù đắp sự mất giá của đồng tiền, bảo toàn quỹ tài chính bảo hiểm trước rủi ro
lạm phát .

4
Ngoài ra, hoạt động đầu tư còn có một số ý nghĩa khác như : giúp doanh
nghiệp khuếch trương quảng cáo thông qua đầu tư bất động sản hoặc tạo thêm
khách hàng cho doanh nghiệp thông qua hoạt động cho vay (khi người vay mua
bảo hiểm tại công ty).
1.3.2.Đối với doanh nghiệp bảo hiểm nhân thọ :
Nếu như trong doanh nghiệp bảo hiểm phi nhân thọ, thu nhập từ hoạt động
đầu tư tài chính giúp doanh nghiệp bù đắp các chi phí kinh doanh,có điều kiện để
giảm phí bảo hiểm, tăng khả năng ký kết hợp đồng bảo hiểm, nâng cao mức giữ lại
trong các hợp đồng tái bảo hiểm, từ đó ổn định và nâng cao kết quả kinh doanh thì
trong doanh nghiệp bảo hiểm nhân thọ, đầu tư quỹ dự phòng là sự bắt buộc vì tính
chất kỹ thuật của nghiệp vụ bảo hiểm này. Nếu các doanh nghiệp bảo hiểm nhân thọ
không đầu tư hoặc thu nhập từ hoạt động đầu tư không đủ lớn để bù đắp các khoản
"nợ tiết kiệm" đối với người được bảo hiểm thì doanh nghiệp bảo hiểm sẽ lâm vào
tình trạng thua lỗ ; trầm trọng hơn có thể dẫn tới phá sản. Như vậy có thể nói đầu tư
là một hoạt động có vai trò sống còn đối với việc tồn tại và phát triển của doanh
nghiệp bảo hiểm nhân thọ.
Hoạt động đầu tư trong doanh nghiệp bảo hiểm nhân thọ cũng có những vai
trò quan trọng như các doanh nghiệp bảo hiểm nói chung. Ngoài ra nó còn thể hiện
một số nét quan trọng sau :
-Hoạt động đầu tư giúp họ thực hiện các nghĩa vụ tài chính của mình đối với
người tham gia bảo hiểm. Bởi vì bảo hiểm nhân thọ không chỉ có tính rủi ro mà còn
có tính tiết kiệm. Do đó việc đầu tư có hiệu quả không đơn thuần là phát triển quỹ
tài chính mà còn là trách nhiệm của DNBH để đảm bảo cho khách hàng được trả lãi.
-Thu nhập từ đầu tư là nguồn tài chính để doanh nghiệp bảo hiểm thực hiện
các cam kết với khách hàng, tăng các khoản lợi tức chia thêm cho các hợp đồng
bảo hiểm, qua đó nâng cao tính hấp dẫn cho các sản phẩm bảo hiểm nhân thọ.
-Đầu tư giúp DNBH nhân thọ bù đắp sự mất gía của đồng tiền, bảo toàn
quỹ tài chính trước rủi ro lạm phát, đảm bảo khả năng chi trả của doanh
nghiệp bảo hiểm nhân thọ trong tương lai .
2.NGUYÊN TẮC ĐẦU TƯ CỦA DOANH NGHIỆP BẢO HIỂM
Hoạt động đầu tư của doanh nghiệp bảo hiểm được ví như một "cánh tay"
của doanh nghiệp bảo hiểm cùng với "cánh tay" kinh doanh trực tiếp. Trong môi
trường cạnh tranh quyết liệt để đảm bảo đầu tư an toàn và hiệu quả doanh nghiệp
bảo hiểm cần tuân thủ những nguyên tắc cơ bản sau :
2.1.Nguyên tắc an toàn

5
Nguyên tắc này được đặt ra nhằm hạn chế tối đa rủi ro trong đầu và bảo toàn
nguồn vốn sử dụng.
Hoạt động đầu tư luôn đứng trước những rủi ro như :
Rủi ro về lãi suất
Rủi ro tín dụng
Rủi ro thị trường
Rủi ro tiền tệ
Rủi ro biến động giá trong đầu tư chứng khoán .
Khi tiến hành hoạt động đầu tư, các doanh nghiệp bảo hiểm cần chú ý đến tất
cả những rủi ro trên để hoạt động đầu tư được hiệu quả hơn.
Trước những rủi ro đó việc đảm bảo an toàn vốn là rất quan trọng , nó đảm bảo khả
năng thanh toán của doanh nghiệp bảo hiểm, tạo lòng tin cho khách hàng từ đó tăng
thêm uy tín cho doanh nghiệp. Nguyên tắc này yêu cầu doanh nghiệp bảo hiểm phải
đa dạng hoá danh mục đầu tư của mình nhằm phân tán và giảm thiểu những rủi ro
có thể gặp phải.
Nguyên tắc an toàn được pháp luật thể chế bằng việc quy định danh mục đầu
tư với những lĩnh vực có mức độ rủi ro đầu tư thấp.Cụ thể như sau :
Điều 98,Luật kinh doanh bảo hiểm ban hành năm 2000 quy định doanh
nghiệp bảo hiểm được đầu tư vào những lĩnh vực sau:
Mua trái phiếu chính phủ;
Mua cổ phiếu, trái phiếu doanh nghiệp;
Kinh doanh bất động sản;
Góp vốn vào các doanh nghiệp khác;
Cho vay theo quy định của Luật các tổ chức tín dụng;
Gửi tiền tại các tổ chức tín dụng
(trích điều 98-Luật kinh doanh bảo hiểm)

