
PHÂN TÍCH LIPID
N I DUNG CHÍNH: Ộ
Nhu c u c a lipid đn cu c s ngầ ủ ế ộ ố
Các phép th đnh l ng lipidử ị ượ
• Các ch tiêu trong d u mỉ ầ ỡ
•Các ph ng pháp xác đnh d u mươ ị ầ ỡ

2
PHÂN TÍCH ĐNH L NG LIPIDỊ ƯỢ
•Ch s xà phòng hóaỉ ố
•Ch s iodỉ ố
•Ch s Hydroxyl ỉ ố
•Ch s Acid ỉ ố
•Ch s peroxylỉ ố
•Hàm l ng n c ượ ướ
•Xác đnh t ng hàm l ng lipid trong th c ph mị ổ ượ ự ẩ
•Xác đnh m t s ch tiêu quang tr ng trong d uị ộ ố ỉ ọ ầ

CH S SAPONIFICATIONỈ Ố
AOCS CD 3-25 (1997)
Đnh nghĩa: ịS mg KOH c n thi t đ trung hòa các acid t ố ầ ế ể ự
do và xà phòng hóa este có trong m t gam d u mộ ầ ỡ
Ý nghĩa: Cho bi t phân t l ng trung bình c a các acid béo ế ử ượ ủ
tham gia thành ph n c a ch t béo đem phân tích. Ch s này ầ ủ ấ ỉ ố
càng cao ch ng t kh i l ng phân t trung bình c a acid ứ ỏ ố ượ ử ủ
nhỏ

4
Quy Trình Phân Tích
Thực hiện song song với mẫu blank
CH S SAPONIFICATIONỈ Ố
AOCS CD 3-25 (1997)

5
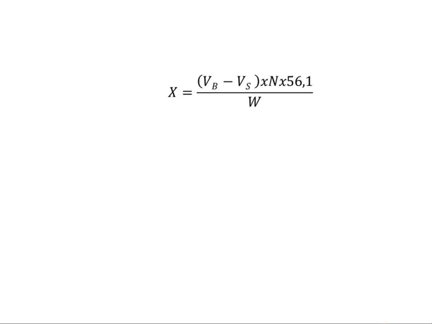
N - N ng đ dung d ch HClồ ộ ị
VB - th tích dung d ch HCl ể ị
chu n m u tr ng , mLẩ ẫ ắ
VS - th tích dung d ch HCl ể ị
chu n đ m u th , mLẩ ộ ẫ ử
W - kh i l ng m u th , gố ượ ẫ ử
X - ch s xà phòng hoá ỉ ố
Công thứ tính:
CH S SAPONIFICATIONỈ Ố
AOCS CD 3-25 (1997)

