
CH NG 4: HÓA H C ACID NUCLEICƯƠ Ọ
1.KHÁI NI MỆ
Acid nucleic là các đ i phân t r t dài đ c c u t o t các nguyên t C, ạ ử ấ ượ ấ ạ ừ ố
H, O, N và P. Đ c tr ng c a acid nucleic là hàm l ng P (8-10%), N (15-ặ ư ủ ượ
16%) r t n đ nh.ấ ổ ị
Acid nucleic t n t i không ch trong nhân t bào mà còn hi n di n trong ồ ạ ỉ ế ệ ệ
t bào ch t, có 2 lo i acid nucleic:ế ấ ạ
+ DNA (deoxyribonucleic acid) n m ch y u trong nhân t bàoằ ủ ế ế
+ RNA (ribonucleic acid) tìm th y ch y u t bào ch tấ ủ ế ở ế ấ
Acid nucleic hi n di n trong m i t bào s ng, d ng t do hay k t h p ệ ệ ọ ế ố ở ạ ự ế ợ
v i protein, tham gia vào sinh t ng h p protein, sinh tr ng, sinh s n ớ ổ ợ ưở ả
và di truy nề
Khi th y phân hoàn toàn cho ra base nit (purin, pyrimidin), đ ng ủ ơ ườ
pentose (deoxyribose, ribose) và acid phosphoric v i t l 1:1:1. Th y ớ ỷ ệ ủ
phân không hoàn toàn cho ra nucleoside và nucleotide


2.THÀNH PH N C A ACID NUCLEICẦ Ủ
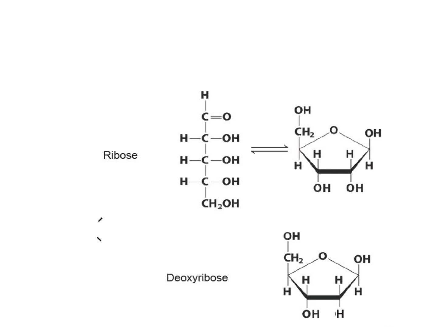
2.1.Đ ng pentose, acid phosphoricườ
Th ng d ng ườ ở ạ β-D ribofuranose và β-D deoxyribofuranose
OH
O = P- OH
OH
Acid phosphoric

2.2.Các base nitơ
Có s bi n đ i qua l i gi a hai d ng ceto và enol c a các base. ự ế ổ ạ ữ ạ ủ
pH sinh lý d ng C-OH đ c đ i thành d ng C=OỞ ạ ượ ổ ạ
Nhân pyrimidin
và nhân imidazol

2.3.Các nucleoside
Là s n i c a base (purin, pyrimidin) v i đ ng (ribose, deoxyribose) ự ố ủ ớ ườ
b ng n i N-glucoside. v trí Cằ ố Ở ị 1 đ ng và Nườ 1 pyrimidin, N9 purin

