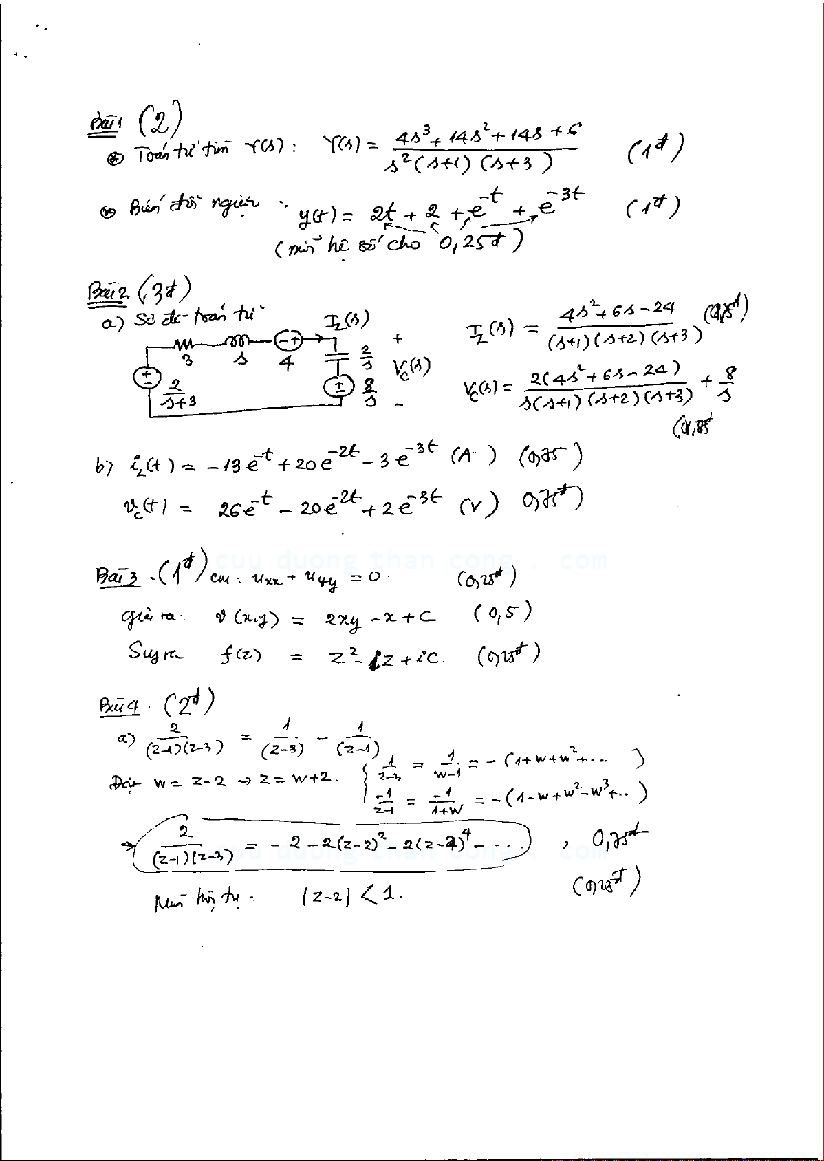
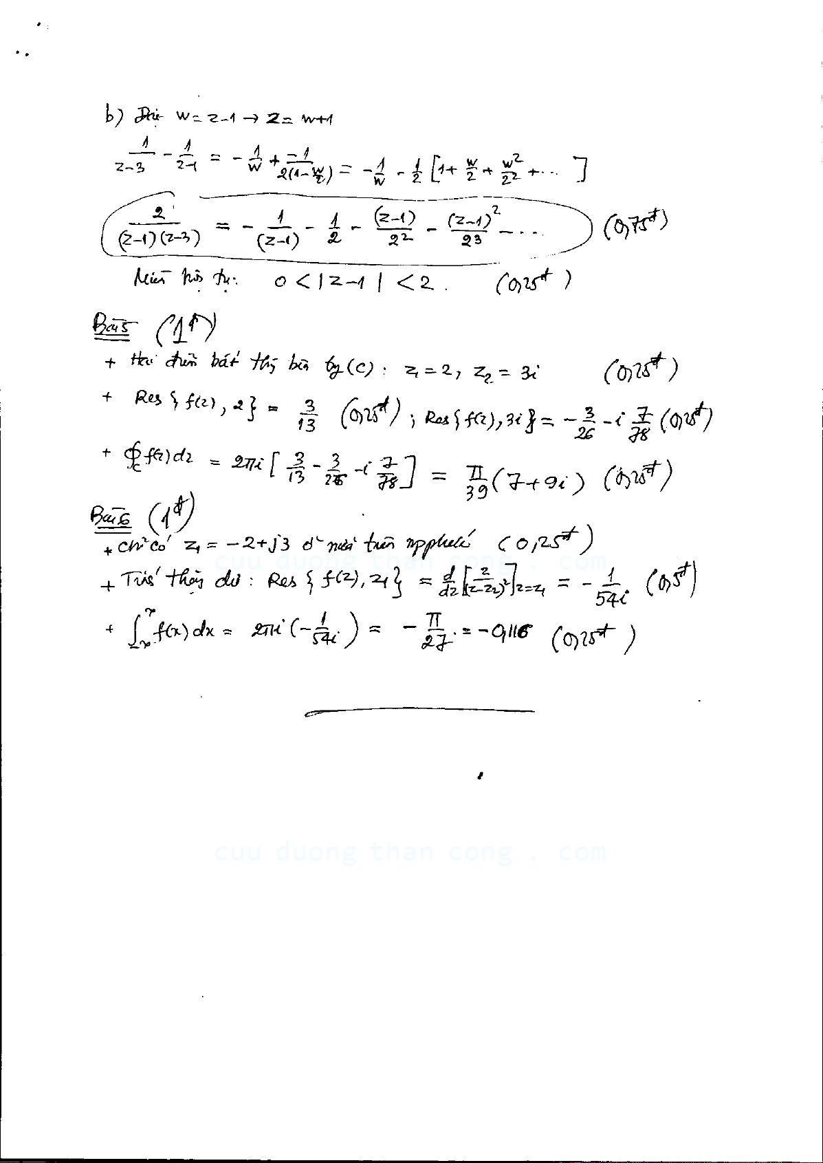
Đề thi cuối học kỳ 3 môn Toán kỹ thuật - Năm học 2013 - 2014
Đề thi cuối học kỳ 3 môn Toán kỹ thuật giúp các bạn sinh viên có thêm tài liệu để củng cố các kiến thức, ôn tập kiểm tra, thi cuối kỳ. Đây là tài liệu bổ ích để các em ôn luyện và kiểm tra kiến thức tốt, chuẩn bị cho kì thi học kì. Mời các em và các quý thầy cô giáo bộ môn tham khảo.

CuuDuongThanCong.com

CuuDuongThanCong.com

CuuDuongThanCong.com

CuuDuongThanCong.com