
Tóm t t lý thuy t ắ ế
a. Các đ nh lí trung bình.ị
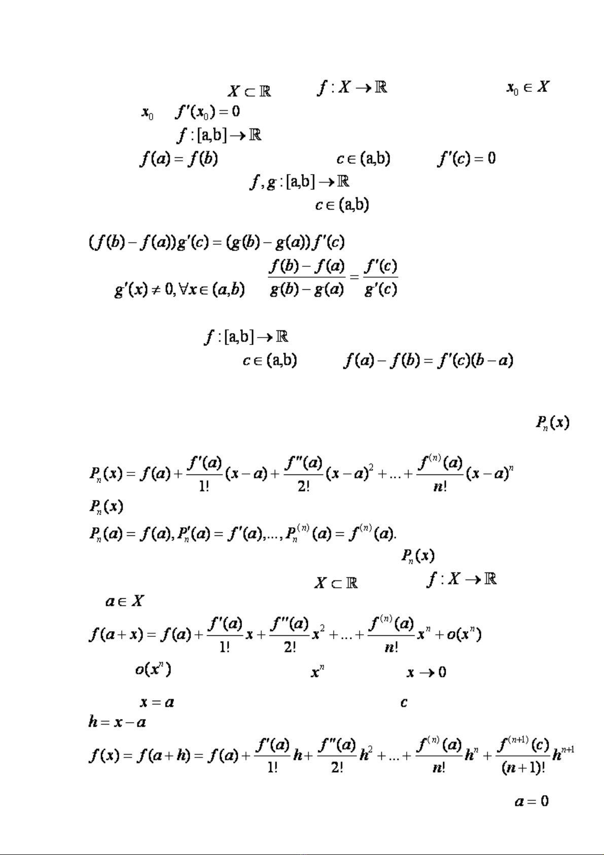
Đ nh lí Ferma. Cho t p m ị ậ ở và hàm . N uế f đ t c c tr t i ạ ự ị ạ thì
kh vi t i ả ạ và .
Đ nh lí Roll. Cho ị liên t c trên kho ng đóng [a, b] và kh vi trên kho ng m (a,ụ ả ả ả ở
b. Gi s ả ử , khi đó t n t i m t s ồ ạ ộ ố sao cho .
Đ nh lí Cauchy. Gi s hai hàm ị ả ử liên t c trên kho ng đóng [a, b] và kh viụ ả ả
trên kho ng m (a, b). Khi đó t n t i m t s ả ở ồ ạ ộ ố sao
cho
.
N u ế thì .
Đ nh lí Lagrange. N u ị ế liên t c trên kho ng đóng [a, b] và kh vi trên kho ngụ ả ả ả
m (a, b) thì t n t i m t đi m ở ồ ạ ộ ể sao cho .
b. Công th c Taylor. ứ
Cho hàm f xác đ nh trên lân c n nào đó c a ị ậ ủ a. Gi s ả ử f kh vi đ n c p ả ế ấ n t i ạa. Kí hi u ệ
là đa th c theo bi n ứ ế x
.
có tính ch t sauấ
Công th c Taylor cho ta m i liên h gi a hàmứ ố ệ ữ f(x) và đa th c ứ.
*Công th c Taylor đ ng Peano. Cho t p m ứ ạ ậ ở và n u hàm ế kh vi đ n ả ế n
t i ạ thì
.
trong đó, là vô cung bé b c cao h n ậ ơ trong quá trình .
*Công th c Taylor v i s d Lagrange. Gi s hàm ứ ớ ố ư ả ử f có đ o hàm c p ạ ấ n+1 trong lân c n nào đóậ
c a đi m ủ ể . Th thì v i m i ế ớ ỗ x thu c lân c n đó, t n t i ộ ậ ồ ạ n m gi a ằ ữ a và x sao cho v iớ
ta có
.
Các công th c trên g i là khai tri n Taylor c a hàm ứ ọ ể ủ f t i ạa. Trong tr ng h p ườ ợ ,

khai tri n Taylor còn đ c g i là khai tri n Mac Laurin.ể ượ ọ ể
Chú ý. Các khai tri n Taylor và Mac Laurin là duy nh t.ể ấ
[ M c l cụ ụ ]
Các ví d ụ
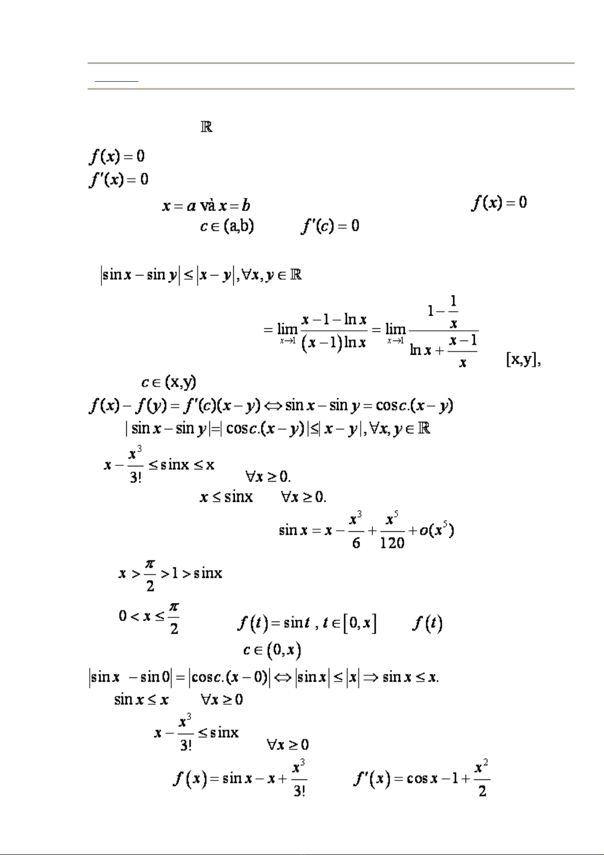
1. Hàm f kh vi trên ả khi đó gi a hai nghi m th c c a ph ng trình ữ ệ ự ủ ươ
có ít nh t m t nghi m c a ph ng trình ấ ộ ệ ủ ươ
.
Th t v y, g i ậ ậ ọ là hai nghi m khác nhau c a ph ng trình ệ ủ ươ . Theo
đ nh lí Roll thì t n t i ị ồ ạ sao cho .
2. S d ng các đ nh lí trung bình đ ch ng minh các đ ng th c sau ử ụ ị ể ứ ẳ ứ
a. .
Áp d ng đính lí Lagrange cho hàm ụ trên thế
thì t n t i ồ ạ sao cho
.
Suy ra
b. v i ớ
* Ch ng minh ứv i ớ
- B t đ ng th c hi n nhiên đúng v iấ ẳ ứ ể ớ .
- V i ớ thì b t đ ng th c đúng.ấ ẳ ứ
- V i ớ. Xét hàm . Hàm th a mãn gi thi t c aỏ ả ế ủ
đ nh lý Lagrange. V y, t n t i ị ậ ồ ạ sao cho
V y ậ v i ớ.
Ch ng minh ứv i ớ.
Xét hàm . Ta có .

v i ớ. V y ậ là hàm đ ng bi n. Suy raồ ế
v i ớ, do đó v iớ .
V y ậ v iớ .
c. .
Xét hàm . Theo đ nh lí Lagrange, t n t i ị ồ ạ sao cho
.
3. Vi t công th c Cauchy cho hàm ế ứ trên đo nạ
[a,b].
Do hàm và liên t c trên ụ, kh vi trên ả nên t n t iồ ạ
sao cho
.
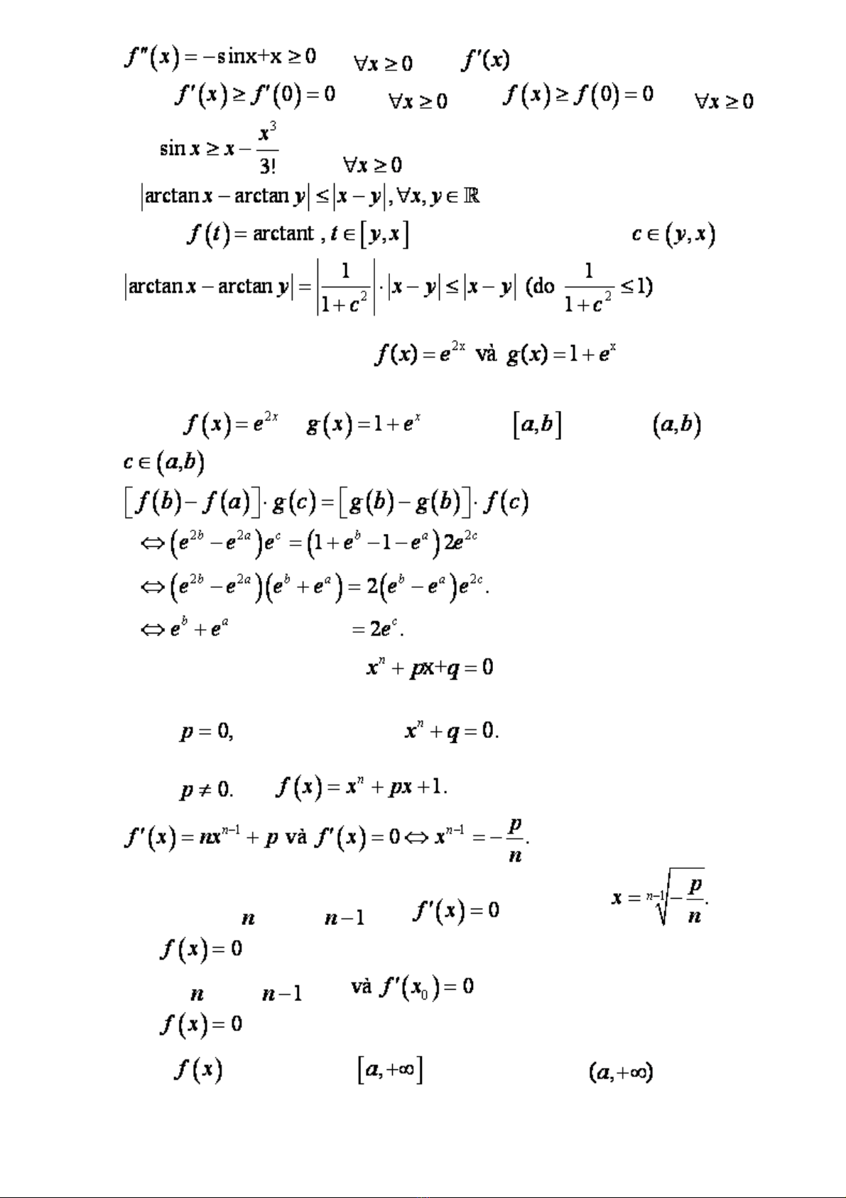
4. Ch ng minh r ng ph ng trình ứ ằ ươ có không quá nghi m ệ
th c n uự ế n là s t nhiên ch n, có không quá 3 nghi m th c n u ố ự ẵ ệ ự ế n là s t nhiên l .ố ự ẻ
- N uế ph ng trình tr thành ươ ở Ph ng trình này có t i đa 2 nghi mươ ố ệ
th c .ự
- N uế Đ t ặ Ta có
+ N uế ch n thì ẵ l và ẻ ch có nghi m ỉ ệ
V y ậ có t i đa 2 nghi m.ố ệ
+ N uế lẻ thì ch n ẵ có t i đa 2 nghi m. ố ệ
V y ậ có t i đa 3 nghi m .ố ệ
5. Cho liên t c trên đo n ụ ạ và kh vi trên kho ng ả ả .

Gi s ả ử , ch ng minh r ng t n t i ứ ằ ồ ạ sao cho .
-N uế .
-N uế . Gi sả ử th thì t n t iế ồ ạ
. Do liên t c trên ụ nên t n t iồ ạ
. M t khác, theo gi thi t thì ặ ả ế
nên t n t i ồ ạ th a mãn ỏ Khi đó, t n t iồ ạ
liên t c ).ụ
V y ậ liên t c trên ụ, có đ o hàm trên ạ. Do đó,
th a mãn gi thi t c a đ nh lí Roll. Đi u đó có nghĩa là t n t iỏ ả ế ủ ị ề ồ ạ
. V y ta có đi u ph i ch ng minh.ậ ề ả ứ
6. Khai tri n Mac Laurin các hàm s sau ể ố
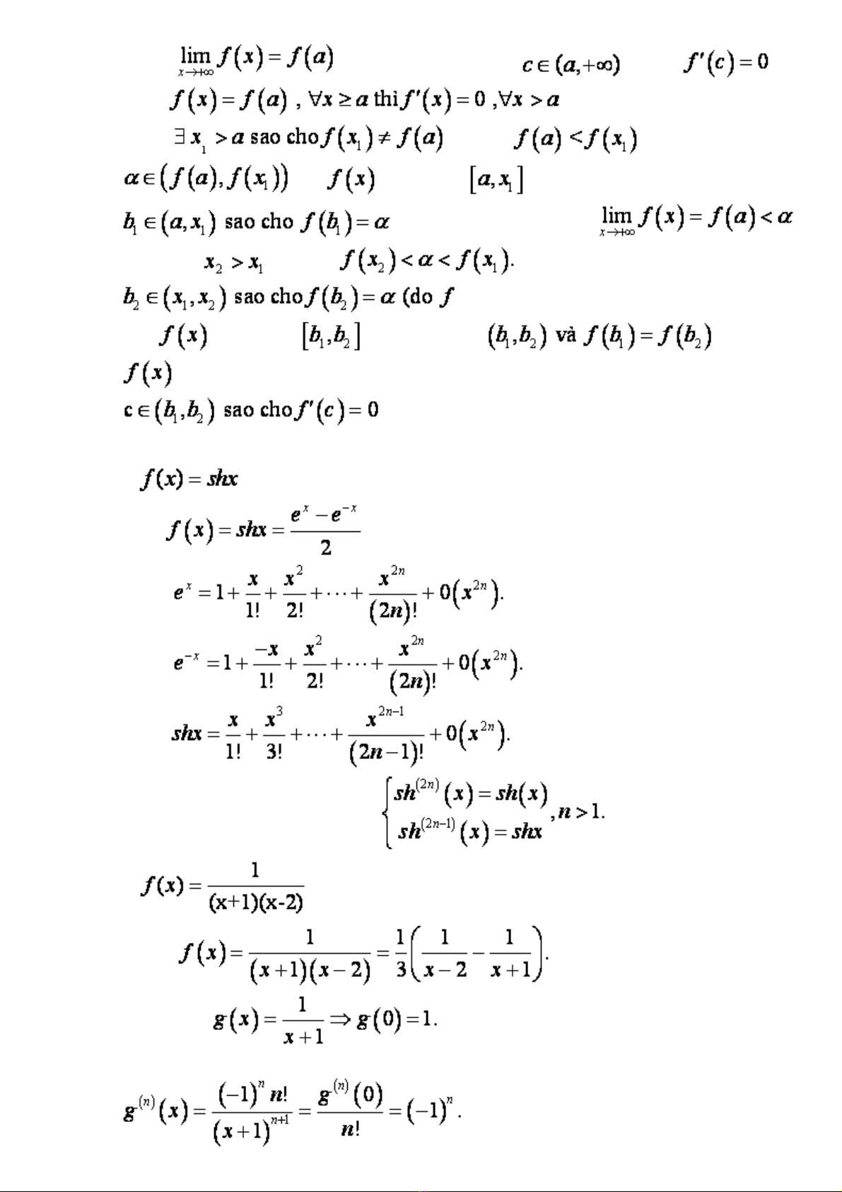
a. .
Ta có .
Suy ra
Có th khai tri n tr c ti p v i chú ý ể ể ự ế ớ
b. .
Ta vi t ế
- Xét Đ o hàm c p ạ ấ n

-Xét
V y ậ
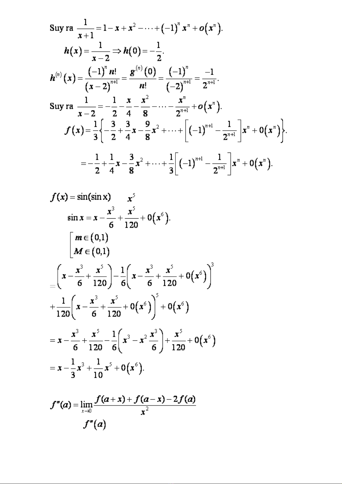
7. Vi t các khai tri n Mac Laurin v i phân d Peano hàm s ế ể ớ ư ố
đ n ế.
Ta có
Suy ra
8. Ch ng minh r ng n u ứ ằ ế f có đ o hàm c p ạ ấ 2 t i ạa thì
.
Do t n t iồ ạ nên theo công th c khai tri n Taylorứ ể ta có

