
22 DẠNG BÀI TẬP TOÁN TÀI CHÍNH
TỔNG HỢP CÔNG THỨC NHANH GIẢI BÀI TẬP TOÁN TÀI
CHÍNH
Dạng 1: Một dãy gồm N niên kim “cố định”, i1,i2 là hai lãi suất khác nhau.
Tính giá trị thu được
= + =
Dạng 2: Một khoản vay C được thanh toán bằng N niên kim. (N-1) niên kim
cố định, tính niên kim cuối cùng <b>
b=
Dạng 3: Một dãy gồm 20 niên kim cố định được thực hiện vào các thời điểm
1,2,...20 ,từ thời kì 1 đến k là 8% <i1> bắt đầu (k+1) đến lãi suất 9% <i2>.
Tính giá trị dãy niên kim đó tại thời điểm gốc 0 biết a =2000, k=9

(1+i1)-k
Dạng 4: Một người mua 1 lô hàng có 3 phương án A, B, C trong đó A cho
trước. Biết S=10.000 ; n=16 ; b=900; m=20; c=800; i=5%. So sánh các
phương án?
A = 10.000
B = b
C =
Dạng 5: Thay thế 2 khoản nợ:( khoản 1 sau 1 năm, khoản 2 sau 3 năm) bằng
1 khoản nợ duy nhất trả trong n năm, i =6%. Tính S biết n=1,2,3...
S = ( k ở đây hiểu rằng các thời hạn trả các khoản nợ VD :sau
3 năm , sau 1 năm)

Dạng 6: Hai thương phiếu b có mệnh giá A ( ngàn euro) và B ( ngàn euro)
với thời hạn 6(n1), 8(n2) năm với n1<n2, i=7%. Tìm thời điểm P mà 2
thương phiếu có chiết khấu bằng nhau. Biết A, B
P =
Dạng 7: Một người đều đặn gửi vào ngân hàng vào ngày 15/1 gửi A và ngày
15/7 gửi B. Lần gửi cuối vào 15/1/2010. Biết A=1500, B= 2000, i=6%. Hỏi
số tiền mà người đó có
V =
Dạng 8: Một người cho vay 3 khoản vốn M, N, P với lãi suất i, j, k và thời
hạn m,n,p. Tìm lãi suất trung bình
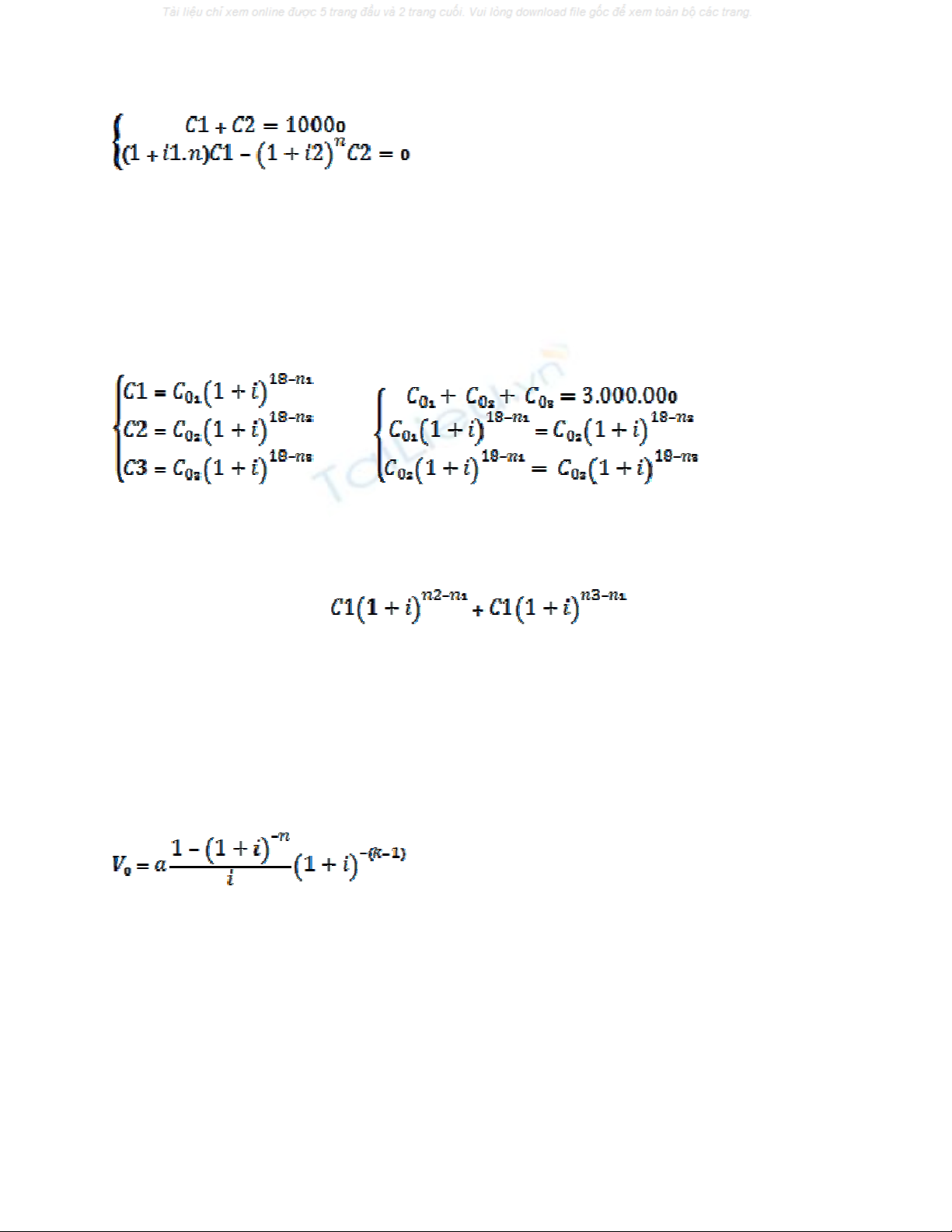
Dạng 9: Hai khoản vốn có tổng số là 10000 USD đem cho vay khoản 1 theo
lãi đơn và khoản 2 theo lãi gộp. Tìm C1, C2

Dạng 10: Một khoản tiền thừa kế... n1, n2, n3 là số tuổi của các con. Tính số
tiền chia cho từng người con
<=>
( C01=x, C02=y, C03=z)
3.000.000= C1+ )
Dạng 11:Tính giá trị tại thời điểm 0 của dãy niên kim n thực hiện cách nhau
1 năm. Niên kim đầu sau k=2,3,4... với i
Dạng 12: Một khoản vay 1.000.000 euro với i= 6% được thanh toán bằng k
niên kim. Tím khoản thanh toán nợ gốc cuối cùng

Dạng 13: Một dãy niên kim cố định được thực hiện vào thời điểm 1,2,...,n ;
mỗi niên kim =a (USD). Tính giá trị thu được vào thời điểm (n+k) biết lãi
suất i= 5%
Dạng 14: Một thương phiếu có mệnh giá C (euro) thời hạn n năm. Chiết
khấu theo lãi gộp. Biết e, C, i. Số tiền chiết khấu e= 264,97. Tìm thời hạn n
n=
Dạng 15: Một khoản nợ D được thanh toán bằng n niên kim cố định với lãi
suất i. Tính niêm kim thứ 2 (hoặc k) biết D, n, i

