
--------------
BỘ CÂU HỎI ÔN TẬP HỌC PHẦN LUẬT THƯƠNG MẠI MODULE 1
Câu 1: Phân tích đặc điểm pháp lí của thương nhân theo pháp luật Việt Nam. Phân biệt các khái
niệm thương nhân, doanh nghiệp và chủ thể kinh doanh.
- Thương nhân
Tổ chức kte được thành lập hợp pháp + cá nhân
Hoạt động thương mại độc lập, thường xuyên
Có đăng kí kinh doanh.
- Đặc điểm pháp lý của thương nhân:
+ Chủ thể: cá nhân và tổ chức
+ nội dung và lĩnh vực hoạt động: có hành vi thương mại là mua bán hàng hoá, cung ứng
dịch vụ, ….các hoạt động khác có mục đích sinh lợi.
+ Thực hiện độc lập: tự nhân danh chính mình, vì lợi ích bản thân, tự chịu trách nhiệm về
hành vi không bị chi phối bởi người khác (người làm công ăn lương bị chi phối bởi
quản lý)
+ Thực hiện thường xuyên: có hoạt động thương mại liên tục, có tính chất nghề nghiệp.
+ Thủ tục: hợp pháp + có đăng kí kinh doanh
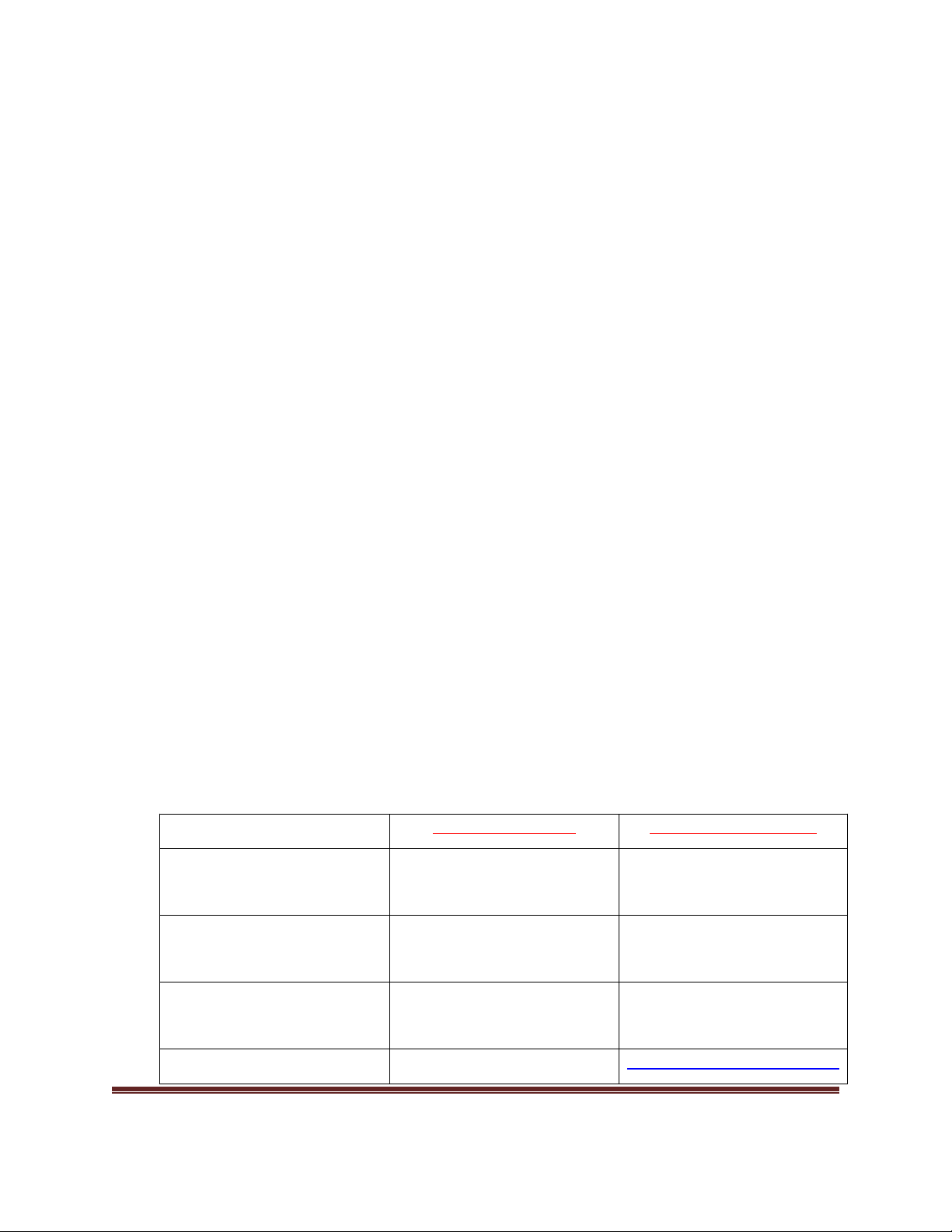
- Phân biệt thương nhân, chủ thể kinh doanh, doanh nghiệp:
Thương nhân Doanh nghiệp Chủ thể kinh doanh
Chủ thể Cá nhân, tổ chức kte thành lập hợp
pháp
tổ chức có tên riêng, có tài sản, có trụ sở
giao dịch.
thương nhân + người hđ thương mại
độc lập, thường xuyên không phải đăng
kí KD (nghề bán hàng rong)
Có đăng kí kinh doanh Có đăng kí kinh doanh Có hoặc 0 đăng kí kinh doanh
Câu 2: Phân tích đặc điểm pháp lí của Doanh nghiệp tư nhân. Phân biệt Doanh nghiệp tư
nhân với Hộ kinh doanh.
Khái niệm:
DNTN là DN do 01 cá nhân làm chủ, chịu TN bằng toàn bộ tài sản.
Page 1

Đặc điểm pháp lý:
-1 cá nhân bỏ vốn thành lập và làm chủ:
+ Vốn từ TS của Chủ DN. Nếu tăng, giảm VĐL -> khai báo với CQĐkkD. TS của DNTN
và TS của Chủ DNTN là 01.
+ Có 1 chủ Chủ DNTN có quyền quyết định mọi vấn đề, đồng thời là người đại diện
theo PL.
- không có tư cách pháp nhân: vì DNTN không có sự độc lập về TS 0 thỏa mãn điều
kiện là pháp nhân.
-TNTS : Chủ DN có chế độ TNTS vô hạn -> chịu trách nhiệm mọi rủi ro. DNTN phá
sản khi chủ DNTN Không còn TS.
- Không được phát hành chứng khoán.
- Chủ DNTN chỉ được thành lập duy nhất 01 DNTN.
Phân biệt DNTN và Hộ kinh doanh:
DNTN Hộ kinh doanh
CSH 01 cá nhân 01 cá nhân, 01 nhóm người, 01 hộ gia
đình
VN và nước ngoài VN đủ NLHVDS, đủ 18t
Quy mô - không hạn chế số lao động
- được kinh doanh nhiều địa điểm
khacnha
- Được xuất, nhập khẩu
- chỉ <= 10 lao động
- chỉ được kinh doanh tại 01 địa điểm
- không được xuất, nhập khẩu
Đăng kí kinh
doanh
CQĐkkD cấp tỉnh CQĐkkD cấp huyện
Câu 3: Phân tích đặc điểm pháp lí của Doanh nghiệp tư nhân. Phân biệt Doanh nghiệp tư
nhân với Công ty TNHH một thành viên.
DNTN CT TNHH 1 TV
Tư cách pháp nhân Không có Có
Page 2

CSH Cá nhân Cá nhân/tổ chức
TNTS Chủ DNTN – TN vô hạn TNHH tương ứng phần vốn góp
khi góp đúng đủ
TNVH với phần thiệt hại do việc
không góp đúng vốn cam kết
Huy động vốn No Phát hành trái phiếu
Góp vốn No Có thủ tục chuyển QSH từ cá
nhân Cty
Hạn chế của CSH Không là GĐ/TGĐ Cty nhà nước
Không là chủ hộ kinh doanh khác
Không là TVHD của Cty hợp
danh
Không là GĐ/TGĐ Cty nhà nước
Câu 4: Trình bày quyền cho thuê và bán doanh nghiệp tư nhân của chủ sở hữu doanh
nghiệp tư nhân theo quy định của Luật Doanh nghiệp (2014)
Quyền cho thuê DNTN:
- Khái niệm: chủ DNTN chuyển quyền sử dụng DNTN cho người khác trong 1 thời gian
để nhận tiền.
- Thủ tục: Chủ DNTN có văn bản + bản sao HĐ thuê công chứng đến CQĐkkD, CQ
thuế trong 3 ngày từ lúc HĐ thuê có hiệu lực.
- Hậu quả pháp lý:
+ Người thuê được sử dụng TS DNTN theo HĐ
+ Chủ DNTN chịu TN trước PL và người thứ 3 với HĐ của DN lúc cho thuê
+ HĐ xác định quyền & trách nhiệm của Chủ DNTN và người thuê.
Quyền bán DNTN:
- Khái niệm: chủ DNTN chuyển quyền sở hữu DNTN cho người khác và thu tiền
Page 3

- Thủ tục: người mua phải đăng kí thay đổi CSH
- Hậu quả pháp lý:
+ DNTN bị bán vẫn tồn tại chỉ là thay đổi CSH
+ Trừ thỏa thuận khác, chủ DNTN cũ vẫn phải chịu TNTS chưa thực hiện.
Câu 5: Phân tích đặc điểm pháp lí của công ti hợp danh theo Luật doanh nghiệp (2014). Phân
biệt công ty hợp danh và công ty TNHH hai thành viên trở lên.
Đặc điểm Công ty hợp danh:
- ít nhất 2 TVHD; có thể có TVGV
- TNTS:
+ Công ty tự chịu TNTS bằng toàn bộ: TS tạo lập được mang tên Cty, TS thu được từ
kinh doanh, TS góp vốn của thành viên đã chuyển QSH.
+ TVHD phải là cá nhân, chịu TN vô hạn và liên đới.
+ TVGV là cá nhân/tổ chức, chịu TN hữu hạn.
- Có tư cách pháp nhân
- không được phát hành chứng khoán
- Chuyển quyền sở hữu:
+ TS góp vốn phải chuyển QSH cho Cty
+ TS có đăng kí chuyển QSH tại CQNN có thẩm quyền
+ TS không đăng kí Có xác nhận biên bản
Phân biệt Công ty hợp danh – Công ty TNHH 2 TV:
Công ty hợp danh Công ty TNHH 2 TV
Thành viên Tối thiểu: 2
Không tối đa
Tối thiểu: 2
Tối đa: 50
TNTS TVHD: vô hạn và liên đới
TVGV: hữu hạn
Hữu hạn
Huy động vốn NO Phát hành trái phiếu
Không đc cổ phiếu đâu
Chuyển nhượng vốn -Tự do chuyển nhượng cho Quy định về việc chuyển
Page 4

thành viên trong cty
-chuyển nhượng cho người
ngoài
TVHD: 3/4 TVHD còn lại
chấp thuận
TVGV: không điều kiện
nhượng phần vốn góp của
thành viên trong công ty
TNHH hai thành viên trở
lên
Thuê GĐ/TGĐ Không (Đ182) CÓ (Đ82)
Câu 6: Trình bày hiểu biết của em về thành viên của công ti hợp danh.
TVHD: Đ176
- Tối thiểu: 2
- là CSH công ty tham gia quản lý nhân danh công ty, có thể là VN hoặc nước ngoài
- Quyền ngang nhau, không phụ thuộc vào phần vốn góp, đều là đại diện theo PL
- Liên đới chịu TN vô hạn
TVGV: Đ182
- không bắt buộc có
- Cá nhân/tổ chức (0 cần pháp nhân)
- không được tham gia quản lý công ty, trừ TH Điều lệ cho phép
- TNHH
Câu 7: Trình bày đặc điểm pháp lý của công ty cổ phần. Phân biệt chuyển nhượng cổ phần và
mua lại cổ phần?
Đặc điểm pháp lý:
- Cổ đông:
+ Tối thiểu: 3, không tối đa
+ Là cá nhân/ tổ chức có tư cách pháp nhân
+ VN – nước ngoài.
-VĐL: được chia thành nhiều phần bằng nhau cổ phần
-Huy động vốn:
Page 5

