
50 Trịnh Trần Xuân Vinh và cs. Tạp chí Phụ sản 2024; 22(5): 50-55.
doi: 10.46755/vjog.2024.5.1803
Khoảng tham chiếu của chỉ số xung động mạch tử cung ở ba tháng cuối
thai kỳ tại Bệnh viện Đại học Y Dược thành phố Hồ Chí Minh
Trịnh Trần Xuân Vinh1,2*, Nguyễn Đức Minh Quân2, Huỳnh Thị Kim Hồng2, Trần Nhật Thăng1,2
1 Bộ môn Phụ Sản - Đại học Y Dược thành phố Hồ Chí Minh, Việt Nam
2 Khoa Phụ Sản - Bệnh viện Đại học Y Dược thành phố Hồ Chí Minh, Việt Nam
doi: 10.46755/vjog.2022.5.1803
Tác giả liên hệ (Corresponding author): Trịnh Trần Xuân Vinh, email: vinh.ttx@umc.edu.vn
Nhận bài (received): 9/12/2024 - Chấp nhận đăng (accepted): 25/12/2024
Tóm tắt
Mục tiêu: Xây dựng khoảng tham chiếu của chỉ số xung động mạch tử cung (UtA-PI) trong ba tháng cuối thai kỳ ở phụ
nữ mang đơn thai đến khám và kết thúc thai kỳ tại Bệnh viện Đại học Y Dược thành phố Hồ Chí Minh.
Đối tượng và phương pháp nghiên cứu: Đây là một nghiên cứu đoàn hệ hồi cứu bao gồm 1088 thai phụ đơn thai từ 28
đến 40 tuần tuổi được đo UtA-PI ở ba tháng cuối thai kỳ theo hướng dẫn của ISOUG. Dữ liệu được thu thập từ bệnh án
điện tử và xử lý bằng phần mềm Rstudio 4.4.1. Các đường bách phân vị của UtA-PI được xây dựng dựa trên hướng dẫn
của INTERGROWTH-21 và mô hình toán học đề xuất bởi Royston và cộng sự.
Kết quả: Chỉ số UtA-PI giảm dần theo tuổi thai với độ dốc tương đối ổn định trong ba tháng cuối. Khoảng tham chiếu của
UtA-PI từ tuần 28 đến 40 được xác định. Khoảng tham chiếu được xây dựng trong nghiên cứu có sự tương đồng với các
nghiên cứu khác gợi ý chỉ số UtA-PI không có sự khác biệt giữa các quốc gia hay các dân tộc khác nhau.
Kết luận: Chỉ số UtA-PI giảm dần theo tuổi thai với độ dốc tương đối ổn định trong ba tháng cuối. Khoang tham chiếu cung
cấp cơ sở cho việc phân loại bình thường hay bất thường để theo dõi và đánh giá sức khỏe thai nhi trong giai đoạn này.
Từ khóa: Doppler động mạch tử cung, chỉ số xung, khoảng tham chiếu, ba tháng cuối thai kỳ.
Reference ranges of uterine artery pulsatility index in the third trimester
at the University Medical Center in Ho Chi Minh City
Trinh Tran Xuan Vinh1,2*, Nguyen Duc Minh Quan2, Huynh Thi Kim Hong2, Tran Nhat Thang1,2
1 Obstetrics and Gynecology Department, University of Medicine and Pharmacy at Ho Chi Minh City, Vietnam
2 Obstetrics and Gynecology Department, University Medical Center in Ho Chi Minh City, Vietnam
Abstract
Objective: To determine the reference ranges of the uterine artery pulsatility index (UtA-PI) during the third trimester at
the University Medical Center in Ho Chi Minh City.
Methods: We design a retrospective cohort study, including 1088 singleton pregnancies between 28 and 40 weeks’
gestation who had UtA-PI measured during the third trimester according to ISOUG guidelines. Data were collected from
electronic medical records and processed using Rstudio 4.4.1 software. Using the INTERGROWTH-21 guidelines and the
mathematical model proposed by Royston to build percentile curves of UtA-PI.
Results: UtA-PI values gradually decreased with a relatively stable slope during the third trimester. The reference
ranges of UtA-PI in the third trimester were established. The reference ranges constructed in this study are consistent
with those reported in other studies, suggesting that UtA-PI does not differ significantly across countries or ethnic
groups.
Conclusion: UtA-PI values gradually decreased with a relatively stable slope during the third trimester. This study
provides reference ranges of UtA-PI in the third trimester classifying measurements as normal or abnormal to evaluate
abnormal pregnancy outcomes related to placental dysfunction during this period.
Keywords: Uterine artery Doppler, pulsatility index, reference ranges, third trimester.
1. ĐẶT VẤN ĐỀ
Chỉ số xung động mạch tử cung (UtA-PI) ở ba tháng
cuối trên phân vị thứ 95 ở thai phụ thuộc nhóm nguy cơ
cao như tiền sản giật, thai với giới hạn tăng trưởng trong
tử cung và thai nhỏ so với tuổi thai có liên quan với nhiều
kết quả bất lợi cho thai kỳ. Những kết quả này bao gồm
thai chết lưu, mổ lấy thai do suy thai, giảm pH máu cuống
rốn [1-4]. Mặt khác, ở nhóm không phải là thai kỳ nguy
cơ cao, khi so sánh giữa bệnh nhân có UtA-PI trên phân
vị 95 và bệnh nhân có UtA-PI bình thường ở tuần thứ 34
SẢN KHOA - SƠ SINH

51
Trịnh Trần Xuân Vinh và cs. Tạp chí Phụ sản 2024; 22(5): 50-55.
doi: 10.46755/vjog.2024.5.1803
cho thấy thai phụ có UtA-PI bất thường kết thúc thai kỳ
vào thời điểm sớm hơn, trọng lượng thai thấp hơn và tỷ lệ
thai nhỏ so với tuổi thai cao hơn có ý nghĩa thống kê [5].
Mối liên quan giữa UtA-PI ở ba tháng cuối và kết cục thai
kỳ bất lợi cho thấy tiềm năng của chỉ số này và do đó,
việc phân định được giá trị bình thường hay bất thường
của chỉ số UtA-PI là bước đầu tiên quan trọng trong việc
sử dụng nó để theo dõi thai kỳ ở ba tháng cuối.
Mục tiêu nghiên cứu: xây dựng khoảng tham chiếu
của chỉ số xung động mạch tử cung ở ba tháng cuối ở
thai kỳ đơn thai tại Bệnh viện Đại học Y Dược thành phố
Hồ Chí Minh.
2. ĐỐI TƯỢNG VÀ PHƯƠNG PHÁP NGHIÊN CỨU
2.1. Thiết kế nghiên cứu: đoàn hệ hồi cứu.
2.2. Đối tượng nghiên cứu:
Tiêu chuẩn chọn mẫu: Toàn bộ thai phụ đơn thai tính
được tuổi thai dựa vào chiều dài đầu mông (CRL) được
đo vào 10 tuần đến 13 tuần 6 ngày (CRL từ 32 đến 80
mm), đồng thời được đo chỉ số xung của động mạch tử
cung ở ba tháng cuối và kết thúc thai kỳ tại Bệnh viện Đại
học Y Dược Thành phố Hồ Chí Minh trong thời gian từ
9/2023 đến 3/2024.
Tiêu chuẩn loại trừ: Thai có dị tật bẩm sinh nặng; thai
phụ mắc thalassemia thể nặng; thai phụ mắc bệnh lý hô
hấp mãn tính hiện không kiểm soát: hen, giãn phế quản,
bệnh phổi tắc nghẽn mãn tính; thai phụ có kết quả chọc
ối xác định dương tính với Cytomegalo virus hoặc Rubella;
tiền căn thai kỳ trước có tiền sản giật hoặc thai với giới hạn
tăng trưởng trong tử cung. Các trường hợp thai nhỏ hoặc
thai to chúng tôi đều không loại trừ khỏi nghiên cứu này.
2.3. Cỡ mẫu: Theo INTERGROWTH-21 [6], quy mô
mẫu cần thiết phải đủ lớn để ước tính chính xác sinh trắc
đến bách phân vị đơn lẻ và giá trị tham chiếu dựa trên
hồi quy. Đối với nghiên cứu cắt ngang với 2000 quan sát,
sai số chuẩn là 0,04 ở phân vị thứ 2,5 và 97,5. Ngoài ra,
nghiên cứu đoàn hệ cần một cỡ mẫu nhỏ hơn 2,3 lần
với độ chính xác tương tự một nghiên cứu cắt ngang [7].
Như vậy để đạt được sai số chuẩn nêu trên, nghiên cứu
của chúng tôi cần ít nhất 870 quan sát.
2.4. Các bước thực hiện
Các sản phụ khi được chỉ định siêu âm Doppler thai
ở ba tháng cuối cho mục tiêu đánh giá tăng trưởng thai
đã được kết hợp đo UtA-PI bên cạnh chỉ số xung động
mạch não giữa và động mạch rốn vốn đã được khảo sát
thường quy. Việc thực hiện đo UtA-PI này không kéo dài
thời gian khảo sát đáng kể. Siêu âm Doppler đánh giá
dòng chảy của động mạch tử cung hai bên ở ba tháng
cuối qua ngả bụng theo hướng dẫn của Hiệp hội Siêu âm
Sản Phụ khoa Quốc tế (ISOUG) [8].
Từ dữ liệu bệnh án điện tử, chúng tôi hồi cứu và thu
thập bằng bảng thu thập số liệu những thông tin của đối
tượng nghiên cứu, bao gồm đặc điểm dân số, chỉ số PI-
UtA, các kết cục của thai kỳ như tiền sản giật, thời điểm
kết thúc thai kỳ, cân nặng trẻ sơ sinh.
2.5. Xử lý số liệu
Nhập liệu bằng phần mềm Epidata 3.1. Làm sạch
và xử lý số liệu bằng ngôn ngữ R thông qua phần mềm
Rstudio 4.4.1.
Xây dựng khoảng tham chiếu của chỉ số xung động
mạch tử cung dựa trên mô hình toán học xây dựng
khoảng tham chiếu theo thời gian được đề xuất bởi
Royston và cộng sự [9] theo các bước sau:
Bước 1: Đánh giá trực quan dữ liệu thông qua sơ đồ
phân tán của UtA-PI theo tuổi thai.
Bước 2: Mô hình hoá xu hướng chung của dữ liệu
bằng hàm số phù hợp. Hàm số được chọn là hàm số có
hệ số xác định (Multiple R-squared) cao nhất, có nghĩa
hàm số này giải thích phương sai của dữ liệu tốt nhất.
Bước 3: Đánh giá phần dư của giá trị UtA-PI dự đoán
so với UtA-PI thực nghiệm.
Bước 4: Chuyển đổi dữ liệu nếu phần dư ở bước 3
không là phân phối chuẩn.
Bước 5: Kiểm tra và tính phạm vi tham chiếu cũng
như vẽ đồ thị kết quả thu được. Với từng đường phân vị
được tính theo công thức , với là đường phân vị muốn
tính toán, là phân vị thứ 50 tương ứng hàm số thu được
ở bước 2 (sau khi đã chuyển đổi dữ liệu nếu có), là độ
lệch chuẩn của phần dư mô hình; là giá trị của phân phối
chuẩn (hệ số z-score). Chẳn hạn với = 0,06 ta tính được
hai đường phân vị thứ 3 và 97 theo công thức nêu trên.
3. KẾT QUẢ
Từ tháng 9/2023 đến 3/2024, chúng tôi ghi nhận
1088 thai phụ thoả tiêu chuẩn được đưa vào nghiên cứu
với 1390 giá trị trung bình của UtA-PI được ghi nhận. Đặc
điểm dân số nghiên cứu được trình bày trong bảng.
Bảng 1. Đặc điểm dân số nghiên cứu
Đặc điểm Giá trị
Tuổi (năm) 30,6 ± 4,2
BMI trước mang thai (kg/m2) 21,3 ± 3,0
Dân tộc Kinh 1052 (96,7%)
Con so 629 (57,8%)
Tăng huyết áp mạn 20 (1,8%)
Lupus ban đỏ hệ thống 17 (1,6%)
Tuổi thai lúc sinh (tuần) 38,5 ± 1,3
Sinh non (< 37 tuần) 89 (8,2%)
Cân nặng trẻ sơ sinh (gram) 3057 ± 419
Trẻ sơ sinh nhẹ cân (theo
INTEGROWTH-21) 103 (9,5%)
Rối loạn tăng huyết áp trong thai kỳ 55 (5,1%)
Tử vong sơ sinh 0 (0%)
Tỷ lệ tăng huyết áp mạn và Lupus ban đỏ hệ thống
trong dân số nghiên cứu chỉ lần lượt là 1,8% và 1,6%, đều
là tỷ lệ rất thấp. Đồng thời, tỷ lệ tăng huyết áp trong thai
kỳ là 5,1% và tỷ lệ trẻ sơ sinh nhẹ cân (dưới phân vị thứ
10 theo INTERGROWTH-21) là 9,5%.

52 Trịnh Trần Xuân Vinh và cs. Tạp chí Phụ sản 2024; 22(5): 50-55.
doi: 10.46755/vjog.2024.5.1803
Biểu đồ 1. Phân bố giá trị chỉ số xung động mạch tử cung trung bình theo tuần tuổi thai
Bảng 2. Dữ liệu thô chỉ số xung động mạch tử cung trung bình theo tuần tuổi thai
Tuần Số quan sát Trung bình Trung vị Độ lệch chuẩn Khoảng tứ phân vị
28 18 0,800 0,792 0,208 0,178
29 30 0,881 0,787 0,407 0,270
30 139 0,762 0,725 0,232 0,275
31 231 0,760 0,730 0,222 0,240
32 253 0,766 0,730 0,219 0,235
33 164 0,729 0,690 0,182 0,231
34 106 0,764 0,740 0,223 0,231
35 141 0,755 0,720 0,211 0,230
36 124 0,723 0,690 0,205 0,236
37 75 0,738 0,730 0,231 0,268
38 69 0,726 0,690 0,211 0,245
39 27 0,734 0,705 0,197 0,185
40 3 0,767 0,765 0,223 0,222
Giá trị chỉ số xung động mạch tử cung trung bình theo tuần tuổi thai được trình bày ở biểu đồ 1 và bảng 2. Dữ liệu
chỉ số xung động mạch tử cung trung bình tập trung nhiều hơn ở tuần thai thứ 29 đến 39 trong khi ở tuần 28 và 40 có
ít quan sát hơn. Chỉ số UtA-PI có vẻ giảm dần theo tuổi thai với biên độ nhỏ. Sự phân bố của các giá trị có vẻ hơi lệch
dương nhưng không có sự khác biệt rõ ràng theo tuổi thai hoặc chỉ số UtA-PI.
Chúng tôi tính toán xác định mối liên quan giữa PI-UtA và tuổi thai được biểu diễn bằng hàm số:
Công thức 1. Mối liên quan giữa PI-UtA và tuổi thai ở ba tháng cuối thai kỳ.

53
Trịnh Trần Xuân Vinh và cs. Tạp chí Phụ sản 2024; 22(5): 50-55.
doi: 10.46755/vjog.2024.5.1803
Biểu đồ 2. Khoảng tham chiếu chỉ số xung động mạch tử cung ở ba tháng cuối thai kỳ
Bảng 3. Giá trị chỉ số xung động mạch tử cung ở ba tháng cuối thai kỳ theo phân vị
Tuần thai Phân vị thứ
3 5 10 25 50 75 90 95 97
28 0,47 0,50 0,55 0,65 0,78 0,94 1,10 1,21 1,29
29 0,46 0,49 0,54 0,64 0,76 0,91 1,07 1,18 1,26
30 0,45 0,48 0,53 0,62 0,75 0,90 1,05 1,16 1,24
31 0,45 0,47 0,52 0,62 0,74 0,88 1,04 1,14 1,22
32 0,44 0,47 0,52 0,61 0,73 0,87 1,03 1,13 1,21
33 0,44 0,47 0,51 0,60 0,72 0,87 1,02 1,12 1,20
34 0,43 0,46 0,51 0,60 0,72 0,86 1,01 1,12 1,19
35 0,43 0,46 0,51 0,60 0,72 0,86 1,01 1,11 1,18
36 0,43 0,46 0,51 0,59 0,71 0,85 1,00 1,11 1,18
37 0,43 0,46 0,50 0,59 0,71 0,85 1,00 1,10 1,17
38 0,43 0,45 0,50 0,59 0,71 0,84 0,99 1,10 1,17
39 0,42 0,45 0,50 0,58 0,70 0,84 0,99 1,09 1,16
40 0,42 0,44 0,49 0,58 0,69 0,83 0,97 1,07 1,14
Khoảng tham chiếu và giá trị xung động mạc tử cung ở ba tháng cuối thai kỳ theo phân vị được trình bày ở biểu đồ
2 và bảng 3. Có thể thấy rằng chỉ số xung động mạch tử cung ở ba tháng cuối thai kỳ trong dân số nghiên cứu giảm
dần theo tuổi thai với tốc độ giảm thấp.
4. BÀN LUẬN
Chỉ số xung động mạch tử cung là thông số phản ánh
gián tiếp trở kháng của hệ thống mạch máu tử cung. Ở
nửa đầu của thai kỳ, sự xâm lấn của các nguyên bào nuôi
và tái cấu trúc hệ thống động mạch xoắn giúp giảm trở
kháng của hệ thống mạch máu, tạo điều kiện tăng lưu
lượng dòng máu đến tử cung. Điều này thể hiện rõ ở hiện
tượng giảm chỉ số xung động mạch tử cung ở nửa đầu
của thai kỳ, và việc phân tích chỉ số xung của động mạch
tử cung trong giai đoạn này có giá trị rất lớn trong tiên
lượng và dự phòng tiền sản giật [10].
Từ sau tuần thứ 20, các hiện tượng sinh lý tại tử cung
và giường bánh nhau có vẻ đã hoàn thành, và việc phân
tích chỉ số xung của động mạch tử cung có vẻ ít được
chú trọng hơn. Mặc dù vậy, một số quan sát cho thấy
hiện tượng tăng chỉ số xung động mạch tử cung ở giai
đoạn này vẫn có liên quan đến các kết cục thai kỳ bất lợi.
Do đó, việc xây dựng một bảng tham chiếu đặc hiệu cho

54 Trịnh Trần Xuân Vinh và cs. Tạp chí Phụ sản 2024; 22(5): 50-55.
doi: 10.46755/vjog.2024.5.1803
dân số là việc cần thiết.
Nghiên cứu của chúng tôi cung cấp khoảng tham
chiếu cho giá trị chỉ số xung động mạch tử cung từ 28
đến 40 tuần tuổi thai từ một đoàn hệ hồi cứu ở dân số
đến khám thai và kết thúc thai kỳ tại Bệnh viện Đại học Y
Dược thành phố Hồ Chí Minh. Chỉ số xung động mạch tử
cung quan sát được trong nghiên cứu của chung tôi có
giá trị giảm dần với độ dốc tương đối ổn định. Theo như
phân tích của Thilganathan, sự giảm nhẹ chỉ số xung của
động mạch tử cung này có thể không liên quan đến thay
đổi sức cản dòng chảy của hệ mạch máu tử cung, mà nó
thể hiện sự tăng dần cung lượng tim của người mẹ ở cuối
thai kỳ. Do đó, các biến đổi về chỉ số xung động mạch tử
cung ở giai đoạn thể hiện sự thích nghi của hệ tuần hoàn
mẹ với thai kỳ [10].
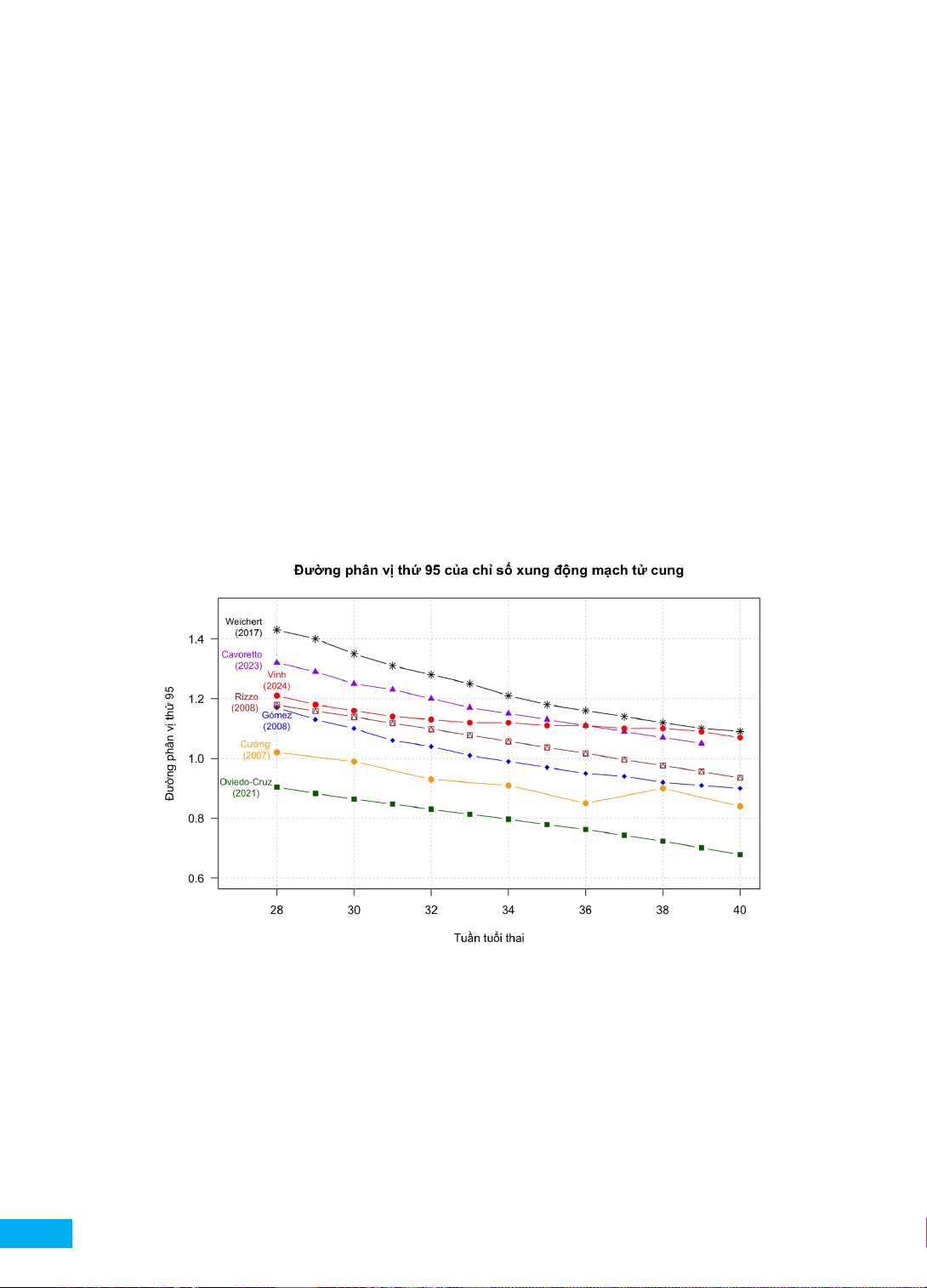
Kết quả nghiên cứu của chúng tôi có sự tương đồng
với công bố của Cavoretto [11] năm 2023, Theo nghiên
cứu này, chỉ số xung động mạch tử cung giảm một cách
nhanh chóng theo tuổi thai đến 16 tuần, sau đó tiếp tục
giảm nhẹ cho đến cuối thai kỳ.
Nghiên cứu của Gomez [12] và cộng sự năm 2008
cho thấy chỉ số xung động mạch tử cung giảm mạnh cho
đến tuần thứ 34 của thai kỳ, sau đó mới đạt được sự ổn
định về độ dốc của đồ thị. Tuy nhiên khi xét riêng khoảng
thời gian từ 28 tuần đến 40 tuần tuổi thai, phát hiện của
Gomez cũng khá tương đồng với các nghiên cứu của các
tác giả khác. Khác với Gomez khi tác giả sử dụng một
hàm đa thức bậc 2 để mô tả giá trị dự đoán của chỉ số
xung động mạch tử cung trên toàn phạm vi tham chiếu
từ tuần 11 đến 40, chúng tôi sử dụng hàm đa thức bậc 3
để mô tả sự biến thiên chỉ số xung động mạch tử cung
trong 13 tuần của 3 tháng cuối thai kỳ, hàm đa thức bậc
3 được sử dụng sẽ mô tả chi tiết hơn về các vị trí cong
do các cạnh và sóng xuất hiện trong từng khoảng của
tham chiếu.
Các phát hiện tương tự về xu hướng giảm nhẹ của chỉ
số xung động mạch tử cung trung bình cũng được ghi
nhận ở các nghiên cứu khác [13-16]. Sự tương đồng về
khoảng tham chiếu ở 3 tháng cuối giữa nghiên cứu của
chúng tôi với nghiên cứu của Cavoretto, Gomez và nhiều
nghiên cứu khác được thể hiện ở biểu đồ dưới gợi ý rằng
phân bố của chỉ số xung động mạch tử cung không có
sự khác biệt nhiều giữa các nhóm dân số ở các quốc gia
khác nhau hoặc giữa chủng tộc khác nhau.
Biểu đồ 3. Đường phân vị thứ 95 của chỉ số xung động mạch tử cung ở các nghiên cứu
Điểm mạnh và hạn chế
Nghiên cứu của chúng tôi là nghiên cứu đầu tiên
cung cấp khoảng tham chiếu của UtA-PI ở ba tháng cuối
thai kỳ tại Việt Nam. Với 1088 thai phụ tham gia nghiên
cứu và 1390 quan sát, kết quả nghiên cứu là đáng tin cậy
với sức mạnh thống kê được đảm bảo đáng kể.
Hạn chế chính của nghiên cứu liên quan đến một tỷ
lệ sản phụ không được chọn lựa vì chỉ đến khám thai
một lần vào cuối thai kỳ sau tuần 36 và không được thực
hiện đo Doppler động mạch tử cung. Tuy nhiên, nguy cơ
sai lệch chọn lựa là thấp vì dữ liệu bị thiếu ngẫu nhiên.
Ngoài ra, nghiên cứu của chúng tôi chỉ được thực hiện
tại Bệnh viện Đại học Y Dược thành phố Hồ Chí Minh và
hầu hết dân số thuộc dân tộc Kinh nên khả năng khái
quát hoá và áp dụng cho thực hành lâm sàng tại các
trung tâm sản khoa khác còn hạn chế. Một hạn chế khác
của nghiên cứu là mặc dù cỡ mẫu của nghiên cứu đã
vượt xa yêu cầu cỡ mẫu tối thiểu của INTERGROWTH-21

