logo
Mạng xã hội chia sẻ tài liệu
Upload
Nâng cấp VIP
Trang chủ » Khoa Học Tự Nhiên » Toán học - Thống kê
2 trang
94 lượt xem
1
0

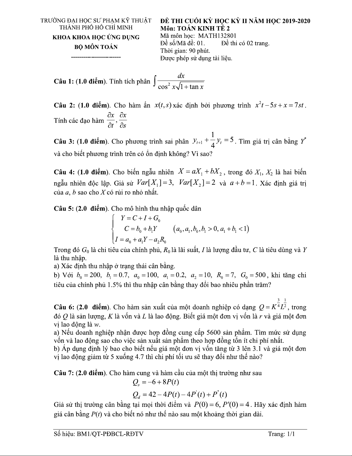
Đề thi cuối học kì 2 môn Toán kinh tế 2 năm 2019-2020

"Đề thi cuối học kì 2 môn Toán kinh tế 2 năm 2019-2020 - Trường ĐH Sư phạm Kỹ thuật, TP.HCM" là tài liệu ôn tập giúp sinh viên nắm vững nội dung quan trọng, nâng cao tư duy phân tích và tự tin khi bước vào kỳ thi. Chúc các bạn học tập hiệu quả!

Chủ đề:

laphongtrang0906

Toán kinh tế

Đề thi Toán kinh tế

Share
/
2

Tài liệu liên quan

Bộ đề thi Cơ sở Toán cho các nhà kinh tế - Học viện Nông nghiệp Việt Nam (2020) - Tuyển tập 8 đề

Bộ 8 đề thi kết thúc học phần môn Cơ sở Toán cho các nhà kinh tế 2 năm 2020 - Học viện Nông nghiệp Việt Nam

8 trang
Đề thi Toán cho nhà kinh tế: Kết thúc học phần năm 2024-2025

Đề thi kết thúc học phần môn Toán cho các nhà kinh tế năm 2024-2025

7 trang
Đề thi Mô hình toán kinh tế học kì 1 năm 2019-2020: Đề thi kết thúc học phần

Đề thi kết thúc học phần học kì 1 môn Mô hình toán kinh tế năm 2019-2020

1 trang
Đề thi học phần môn Toán cho các nhà kinh tế (Hệ VLVH)

Đề thi học phần môn Toán cho các nhà kinh tế (Hệ VLVH)

2 trang
Đề thi học phần Toán cho nhà kinh tế (Hệ Từ xa) - Mới nhất

Đề thi học phần môn Toán cho các nhà kinh tế (Hệ Từ xa)

2 trang
Đề thi học phần Toán cho nhà kinh tế (Hệ Elearning): Tuyển tập đề thi hay và mới nhất

Đề thi học phần môn Toán cho các nhà kinh tế (Hệ Elearning)

2 trang
Đề kiểm tra môn Toán cho nhà kinh tế năm 2023-2024: Tổng hợp đề thi

Đề kiểm tra môn Toán cho các nhà kinh tế năm 2023-2024

4 trang
Đề thi Toán kinh tế 1 cuối học kì 1 năm 2019-2020

Đề thi cuối học kì 1 môn Toán kinh tế 1 năm 2019-2020

2 trang
Đề thi cuối kì Toán kinh tế 2022-2023 (Hệ ĐT) - Tổng hợp đề thi

Đề thi cuối học kì 3 môn Toán kinh tế 2 năm 2022-2023 (Hệ ĐT)

2 trang
Đề thi Toán kinh tế cuối kì 3 năm 2022-2023 (Hệ CLT)

Đề thi cuối học kì 3 môn Toán kinh tế 2 năm 2022-2023 (Hệ CLT)

2 trang

Tài liêu mới

Đề thi Kiểm tra Chất lượng cao Chuyên môn Khoa học và Toán cấp cao toàn quốc lần thứ nhất

Đề thi Kiểm tra Chất lượng cao Chuyên môn Khoa học và Toán cấp cao lần thứ nhất toàn quốc

W 4 trang
Giáo trình Giải tích hàm Đinh Huy Hoàng

Giáo trình Giải tích hàm - Đinh Huy Hoàng

W 203 trang
Hướng dẫn giải bài tập Xác suất - Thống kê: Tài liệu chi tiết

Tài liệu Hướng dẫn giải bài tập Xác suất - Thống kê

203 trang
Bài tập Lý thuyết Xác suất và Thống kê Toán: Tổng hợp đầy đủ

Bài tập Lý thuyết xác suất và thống kê toán

20 trang
Hỏi đáp về Luật Thống kê: Giải đáp thắc mắc chi tiết

Hỏi - đáp về Luật thống kê

27 trang
Quy hoạch thực nghiệm: Bài giảng Xử lý số liệu & Quy hoạch thực nghiệm - Chương 5

Bài giảng Xử lý số liệu & quy hoạch thực nghiệm: Chương 5 - Quy hoạch thực nghiệm

45 trang
Phép phân tích tương quan và phân tích hồi quy trong Xử lý số liệu & quy hoạch thực nghiệm: Bài giảng Chương 4

Bài giảng Xử lý số liệu & quy hoạch thực nghiệm: Chương 4 - Phép phân tích tương quan và phân tích hồi quy

82 trang
Xử lý kết quả thực nghiệm bằng thống kê: Bài giảng Xử lý số liệu & quy hoạch thực nghiệm, Chương 3

Bài giảng Xử lý số liệu & quy hoạch thực nghiệm: Chương 3 - Xử lý kết quả thực nghiệm bằng thống kê

68 trang
Bài giảng Xử lý số liệu & quy hoạch thực nghiệm: Các hàm phân bố (Chương 2)

Bài giảng Xử lý số liệu & quy hoạch thực nghiệm: Chương 2 - Các hàm phân bố

14 trang
Bài giảng Xử lý số liệu & quy hoạch thực nghiệm Chương 1: Các khái niệm xử lý thống kê (Mới nhất)

Bài giảng Xử lý số liệu & quy hoạch thực nghiệm: Chương 1 - Các khái niệm trong xử lý thống kê

63 trang
Bài tập Vi tích phân B1: Hướng dẫn giải chi tiết

Bài tập Vi tích phân B1

99 trang
Thuật toán đơn hình: Bài giảng Kỹ thuật ra quyết định Chương 2

Bài giảng Kỹ thuật ra quyết định: Chương 2 - Thuật toán đơn hình

30 trang
Bài giảng Kỹ thuật ra quyết định: Quan điểm đối ngẫu trong bài toán quy hoạch tuyến tính (Chương 3)

Bài giảng Kỹ thuật ra quyết định: Chương 3 - Quan điểm đối ngẫu trong bài toán quy hoạch tuyến tính

34 trang
Bài giảng Kỹ thuật ra quyết định: Tổng quan về môn học (Chương 1)

Bài giảng Kỹ thuật ra quyết định: Chương 1 - Tổng quan về môn học

50 trang
Quyển ghi Xác suất và Thống kê [chuẩn nhất]

Quyển ghi Xác suất và Thống kê

125 trang

AI tóm tắt

- Giúp bạn nắm bắt nội dung tài liệu nhanh chóng!

Giới thiệu tài liệu

Tài liệu Phân tích về vai trò của giáo dục trong phát triển con người và xã hội tập trung vào những đóng góp của giáo dục đối với sự phát triển kinh tế, chính trị và văn hóa. Nó thảo luận về các thách thức và cơ hội trong giáo dục hiện nay, bao gồm vấn đề phân biệt đối xử, thiếu hụt tài nguyên và áp lực cạnh tranh. Ngoài ra, tài liệu này cũng đưa ra những gợi ý và giải pháp để cải thiện chất lượng giáo dục và phát triển con người.

Đối tượng sử dụng

nhà nghiên cứu, giảng viên, sinh viên, doanh nghiệp, nhà hoạch định chính sách

Từ khoá chính

giáo dụcphát triển kinh tếchính trịvăn hóakỹ năng

Nội dung tóm tắt

Tài liệu này tiếp tục phân tích vai trò của giáo dục trong phát triển kinh tế, chính trị và văn hóa. Nó đưa ra những nỗ lực để giải thích cách giáo dục đòi hỏi các mối quan tâm, sở thích và kỹ năng từ các người học sinh. Nó cũng chỉ ra rõ vấn đề phân biệt đối xử trong giáo dục hiện nay, bao gồm việc sản xuất các quy tắc không phù hợp và thiếu hụt tài nguyên. Tuy nhiên, nó cũng cung cấp một số giải pháp để cải thiện chất lượng giáo dục, bao gồm việc tăng trưởng kỹ năng và sự cải thiện của hình thức giáo dục. Ngoài ra, tài liệu cũng chỉ ra rõ một số đặc điểm quan trọng của giáo dục hiện nay, bao gồm sự phát triển khắc khet và sự ngày càng trở nên quyết liệt hơn. Qua đó, tài liệu này có thể là một trong những tài liệu hữu ích cho những người theo dõi chuyên môn giáo dục và đối tượng tiếp cận vấn đề phát triển con người.

Giới thiệu

Về chúng tôi

Việc làm

Quảng cáo

Liên hệ

Chính sách

Thoả thuận sử dụng

Chính sách bảo mật

Chính sách hoàn tiền

DMCA

Hỗ trợ

Hướng dẫn sử dụng

Đăng ký tài khoản VIP

Zalo/Tel:

093 303 0098

Email:

support@tailieu.vn

Phương thức thanh toán

Theo dõi chúng tôi

Facebook

Youtube

TikTok

chứng nhận
Chịu trách nhiệm nội dung: Nguyễn Công Hà
Doanh nghiệp quản lý: Công ty TNHH Tài Liệu trực tuyến Vi Na - GCN ĐKDN: 0307893603
Địa chỉ: 54A Nơ Trang Long, P. Bình Thạnh, TP.HCM - Điện thoại: 0283 5102 888 - Email: info@tailieu.vn
Giấy phép Mạng Xã Hội số: 670/GP-BTTTT cấp ngày 30/11/2015