
ĐỀ THI HỌC KÌ 2
MÔN ĐỊA LÍ LỚP 12 NĂM 2021
CÓ ĐÁP ÁN

Mục lục
1. Đề thi học kì 2 môn Địa lí lớp 12 năm 2020-2021 có đáp án - Sở GD&ĐT
Quảng Nam
2. Đề thi học kì 2 môn Địa lí lớp 12 năm 2020-2021 có đáp án - Trường THPT
Lương Ngọc Quyến
3. Đề thi học kì 2 môn Địa lí lớp 12 năm 2020-2021 có đáp án - Trường THPT
Phan Ngọc Hiển, Cà Mau
4. Đề thi học kì 2 môn Địa lí lớp 12 năm 2020-2021 có đáp án - Trường THPT
Trần Phú
5. Đề thi học kì 2 môn Địa lí lớp 12 năm 2020-2021 - Sở GD&ĐT Vĩnh Long
6. Đề thi học kì 2 môn Địa lí lớp 12 năm 2020-2021 - Trường THCS&THPT
Trưng Vương
7. Đề thi học kì 2 môn Địa lí lớp 12 năm 2020-2021 - Trường THPT Đoàn
Thượng

Trang 1/4 - Mã đề 701
ĐỀ CHÍNH THỨC
SỞ GIÁO DỤC VÀ ĐÀO TẠO
TỈNH QUẢNG NAM
(Đề gồm có 04 trang)
KIỂM TRA CUỐI HỌC KỲ II NĂM HỌC 2020-2021
Môn: ĐỊA LÍ – Lớp 12
Thời gian: 45 phút (không kể thời gian giao đề)
MÃ ĐỀ 701
Câu 1: Thành phố nào sau đây của nước ta trực thuộc Trung ương?
A. Nha Trang. B. Đà Lạt. C. Quy Nhơn. D. Cần Thơ.
Câu 2: Khu vực đồng bằng của nước ta có mật độ dân số cao hơn khu vực trung du, miền núi
chủ yếu là do
A. khí hậu ôn hòa. B. giàu khoáng sản. C. kinh tế phát triển. D. có nhiều sông lớn.
Câu 3: Các thành phố, thị xã của nước ta thường là nơi
A. không xảy ra thất nghiệp. B. có mật độ dân số rất thấp.
C. có sức mua hàng hóa lớn. D. nông nghiệp phát triển mạnh.
Câu 4: Căn cứ vào Atlat Địa lí Việt Nam trang 25, cho biết trung tâm du lịch nào sau đây là
trung tâm quốc gia?
A. Đà Nẵng. B. Đà Lạt. C. Nha Trang. D. Vũng Tàu.
Câu 5: Xây dựng cơ cấu ngành công nghiệp nước ta theo hướng đa dạng hóa sản phẩm chủ
yếu nhằm
A. khai thác triệt để nguồn khoáng sản. B. phù hợp với yêu cầu của thị trường.
C. thúc đẩy dịch vụ du lịch phát triển. D. thúc đẩy nông nghiệp phát triển.
Câu 6: Than antraxit của nước ta tập trung chủ yếu ở tỉnh nào sau đây?
A. Quảng Nam. B. Quảng Trị. C. Quảng Ninh. D. Quảng Ngãi.
Câu 7: Trung du miền núi Bắc Bộ của nước ta trồng được nhiều loại cây nào sau đây?
A. Cao su, cà phê, hồ tiêu. B. Xoài, mít, chôm chôm.
C. Điều, măng cụt, sầu riêng. D. Chè, đương quy, tam thất.
Câu 8: Căn cứ vào Atlat Địa lí Việt Nam trang 28, cho biết nhà máy thủy điện A Vương
thuộc tỉnh nào sau đây?
A. Quảng Ngãi. B. Phú Yên. C. Quảng Nam. D. Bình Định.
Câu 9: Cơ cấu công nghiệp theo ngành của nước ta tiếp tục hoàn thiện theo hướng
A. đầu tư theo chiều sâu, đổi mới trang thiết bị và công nghệ.
B. chú trọng các ngành công nghiệp cần nguồn lao động.
C. phát triển công nghiệp nặng để hướng ra xuất khẩu.
D. tăng đầu tư cho các ngành công nghiệp truyền thống.
Câu 10: Đặc điểm của nguồn lao động ở nước ta là
A. chủ yếu là lao động có trình độ cao.
B. lao động nông thôn chiếm tỉ lệ thấp.
C. đội ngũ cán bộ quản lí còn thiếu nhiều.
D. người lao động có tính kỉ luật rất cao.
Câu 11: Căn cứ vào Atlat Địa lí Việt Nam trang 23, cho biết đường số 9 nối Lao Bảo với địa
điểm nào sau đây?
A. Hồng Lĩnh. B. Đông Hà. C. Đồng Hới. D. Vinh.
Câu 12: Căn cứ vào Atlat Địa lí Việt Nam trang 15, cho biết đô thị nào trong các đô thị sau
đây có quy mô dân số trên 1000000 người?
A. Hải Phòng. B. Sơn La. C. Bắc Kạn. D. Cửa Lò.
Câu 13: Thủy sản nước ngọt của nước ta được nuôi trồng chủ yếu ở
A. bãi triều, đầm phá. B. sông suối, kênh rạch.
C. vũng vịnh, đầm phá. D. vịnh cửa sông, đảo.

Trang 2/4 - Mã đề 701
Câu 14: Vùng nào sau đây trồng cao su nhiều nhất ở nước ta?
A. Bắc Trung Bộ. B. Nam Trung Bộ. C. Tây Nguyên. D. Đông Nam Bộ.
Câu 15: Đặc điểm hoạt động nội thương của nước ta sau Đổi mới là
A. có nhiều siêu thị lớn ở miền núi. B. chỉ có thành phần kinh tế Nhà nước.
C. hình thành thị trường thống nhất. D. hàng hóa ít được lưu thông rộng rãi.
Câu 16: Vùng đồi trước núi của Bắc Trung Bộ có nhiều thuận lợi để
A. chăn nuôi gia cầm. B. nuôi trồng thủy sản.
C. trồng cây lương thực. D. chăn nuôi trâu, bò.
Câu 17: Ý nghĩa về mặt xã hội của đường Hồ Chí Minh đối với Bắc Trung Bộ là
A. góp phần phân bố lại dân cư. B. cầu nối của vùng với nước Lào.
C. thúc đẩy lâm nghiệp phát triển. D. thúc đẩy chăn nuôi phát triển.
Câu 18: Căn cứ vào Atlat Địa lí Việt Nam trang 21, cho biết ngành công nghiệp đóng tàu có ở
trung tâm công nghiệp nào sau đây?
A. Nha Trang. B. Quy Nhơn. C. Quảng Ngãi. D. Đà Nẵng.
Câu 19: Ngành du lịch nước ta phát triển nhanh trong thời gian qua là do
A. khôi phục làng nghề truyền thống. B. doanh thu du lịch tăng rất nhanh.
C. đầu tư cơ sở hạ tầng, cơ sở vật chất. D. có tài nguyên du lịch biển rất đa dạng.
Câu 20: Căn cứ vào Atlat Địa lí Việt Nam trang 26, cho biết khu kinh tế cửa khẩu Tây Trang
thuộc tỉnh nào sau đây?
A. Sơn La. B. Lào Cai. C. Điện Biên. D. Lai Châu.
Câu 21: Căn cứ vào Atlat Địa lí Việt Nam trang 22, cho biết trung tâm công nghiệp chế biến
lương thực, thực phẩm nào sau đây có quy mô lớn?
A. Hải Dương. B. Nam Định. C. Hải Phòng. D. Hạ Long.
Câu 22: Kim ngạch xuất khẩu của nước ta tăng liên tục chủ yếu là do
A. xây dựng nhiều khu kinh tế ven biển. B. nhiều cảng biển lớn được xây dựng.
C. mở rộng buôn bán với nhiều nước. D. nhiều cửa khẩu được hình thành.
Câu 23: Tuyến đường nào sau đây của nước ta chạy theo hướng bắc - nam?
A. Đường quốc lộ số 9. B. Đường quốc lộ số 8.
C. Đường quốc lộ số 7. D. Đường Hồ Chí Minh.
Câu 24: Căn cứ vào Atlat Địa lí Việt Nam trang 19, cho biết tỉnh nào trong các tỉnh sau đây
có sản lượng lúa lớn nhất?
A. Bình Định. B. Quảng Ngãi. C. Quảng Nam. D. Phú Yên.
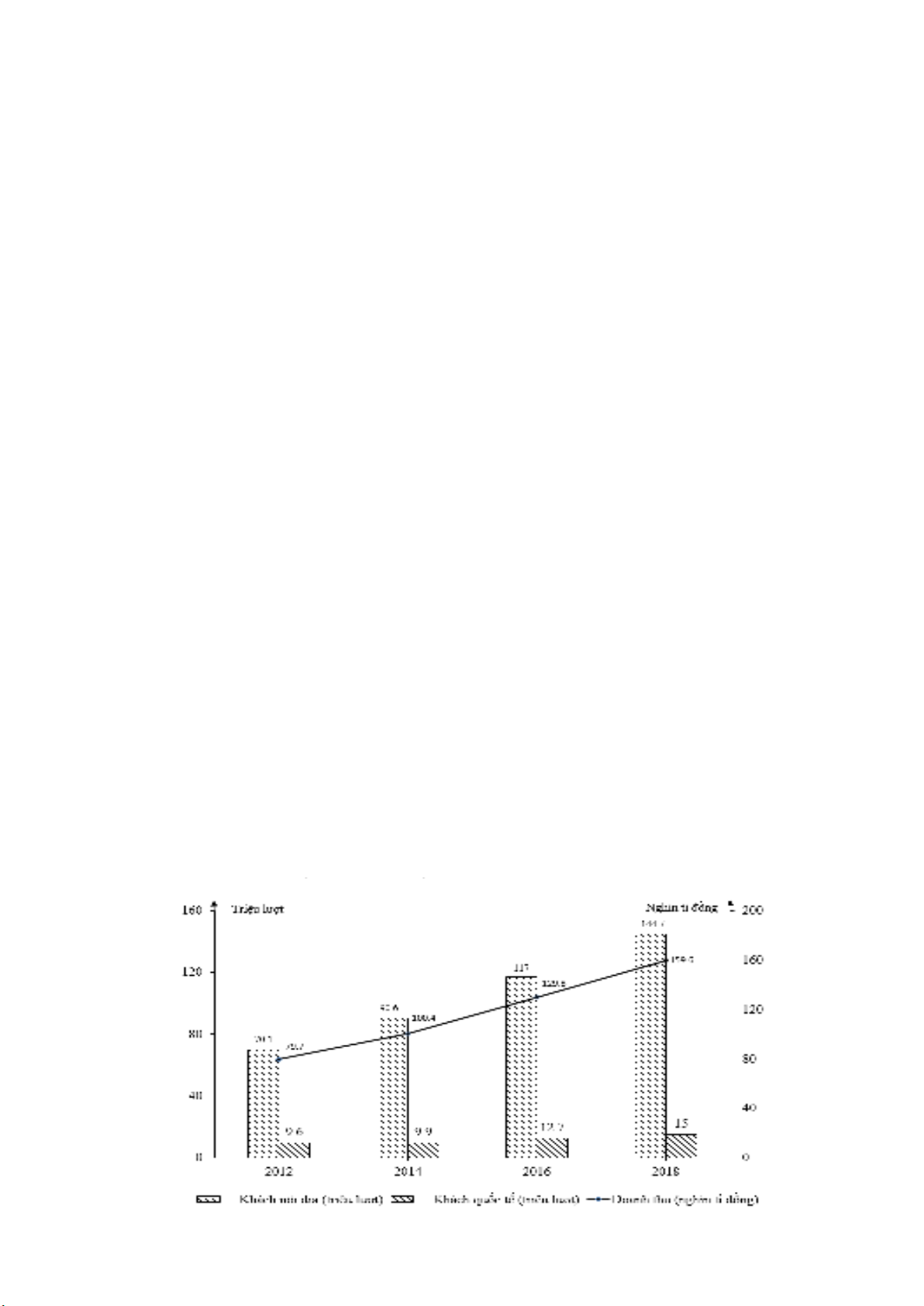
Câu 25: Cho biểu đồ:
SỐ LƯỢT KHÁCH NỘI ĐỊA, KHÁCH QUỐC TẾ VÀ DOANH THU DU LỊCH NƯỚC TA,
GIAI ĐOẠN 2012-2018
(Nguồn: Tổng cục Thống kê năm 2020)

Trang 3/4 - Mã đề 701
Theo biểu đồ, nhận xét đúng về sự biến động số lượt khách nội địa, quốc tế và doanh
thu du lịch của nước ta, giai đoạn 2012-2018 là
A. số lượt khách nội địa tăng nhanh nhất.
B. khách quốc tế tăng nhanh hơn nội địa.
C. số lượt khách quốc tế tăng nhanh nhất.
D. doanh thu tăng nhanh hơn khách quốc tế.
Câu 26: Cho biểu đồ về sản lượng một số sản phẩm công nghiệp của nước ta giai đoạn 2010 – 2018
(Nguồn: Tổng cục Thống kê năm 2020)
Biểu đồ thể hiện nội dung nào sau đây?
A. Sự biến động sản lượng than, dầu thô và điện.
B. Sự thay đổi cơ cấu sản lượng than, dầu thô và điện.
C. Quy mô, cơ cấu sản lượng than, dầu thô và điện.
D. Tốc độ tăng trưởng sản lượng than, dầu thô và điện.
Câu 27: Ngành công nghiệp giữ vai trò quan trọng trong quá trình phát triển kinh tế - xã hội
của tỉnh Quảng Nam là
A. chế biến dầu khí. B. cơ khí, đóng tàu.
C. sản xuất, lắp ráp ôtô. D. hóa chất, phân bón.
Câu 28: Cho bảng số liệu sau:
GDP PHÂN THEO NGÀNH KINH TẾ NƯỚC TA NĂM 2010 VÀ NĂM 2017
(Đơn vị: Nghìn tỉ đồng)
Năm
2010
2017
Nông, lâm, ngư nghiệp 396,6 482,4
Công nghiệp - xây dựng 693,3 1141,4
Dịch vụ 797,2 1265,8
(Nguồn: Tổng cục Thống kê năm 2019)
Theo bảng số liệu, để thể hiện quy mô và cơ cấu GDP phân theo ngành kinh tế của nước
ta năm 2010 và 2017, dạng biểu đồ nào sau đây là thích hợp nhất?
A. Miền. B. Kết hợp. C. Đường. D. Tròn.
Câu 29: Đồng bằng sông Hồng có nhiều di tích, lễ hội để phát triển du lịch là do
A. cơ sở hạ tầng ngày càng hoàn thiện.
B. lịch sử khai thác lãnh thổ lâu đời.
C. trình độ phát triển cao nhất nước.
D. nguồn vốn đầu tư cho du lịch lớn.